

Làm giúp vs nheeeeeeeeeee
Hãy luôn nhớ cảm ơn và vote 5*
nếu câu trả lời hữu ích nhé!
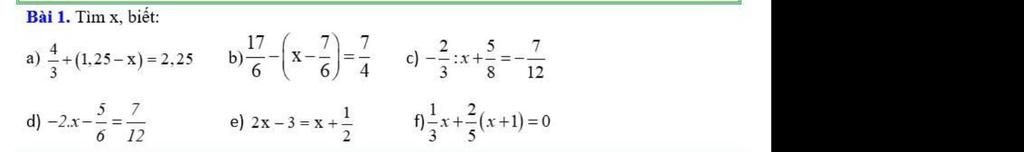
`a)`
`4/3 + (1,25 - x) = 2,25`
`4/3 + (5/4 - x) = 9/4`
`5/4 - x = 9/4 - 4/3`
`5/4 - x = 11/12`
`x = 5/4 - 11/12`
`x = 1/3`
Vậy `x = 1/3`
`b)`
`17/6 - (x - 7/6) = 7/4`
`x - 7/6 = 17/6 - 7/4`
`x - 7/6 = 13/12`
`x = 13/12 + 7/6`
`x = 9/4`
Vậy `x = 9/4`
`c)`
`-2/3 : x + 5/8 = -7/12`
`-2/3 : x = -7/12 - 5/8`
`-2/3 : x = -29/24`
`x = -2/3 : (-29/24)`
`x = 16/29`
Vậy `x = 16/29`
`d)`
`-2x - 5/6 = 7/12`
`-2x = 7/12 + 5/6`
`-2x = 17/12`
`x = 17/12 : (-2)`
`x = -17/24`
Vậy `x = -17/24`
`e)`
`2x - 3 = x + 1/2`
`2x - x = 3 + 1/2`
`x = 6/2 + 1/2`
`x = 7/2`
Vậy `x = 7/2`
`f)`
`1/3 x + 2/5 (x+1) = 0`
`1/3 x + 2/5 x + 2/5 = 0`
`x(1/3 + 2/5) = -2/5`
`x(5/15 + 6/15) = -2/5`
`11/15 x = -2/5`
`x = -2/5 : 11/15`
`x = -6/11`
Vậy `x = -6/11`
Hãy giúp mọi người biết câu trả lời này thế nào?

Bảng tin