

giải bt giúp em với ạ
Hãy luôn nhớ cảm ơn và vote 5*
nếu câu trả lời hữu ích nhé!
`\color{#0074D9}{#y}\color{#0088DD}{l}\color{#3399FF}{i}\color{#66AAFF}{n}\color{#99CCFF}{h}`
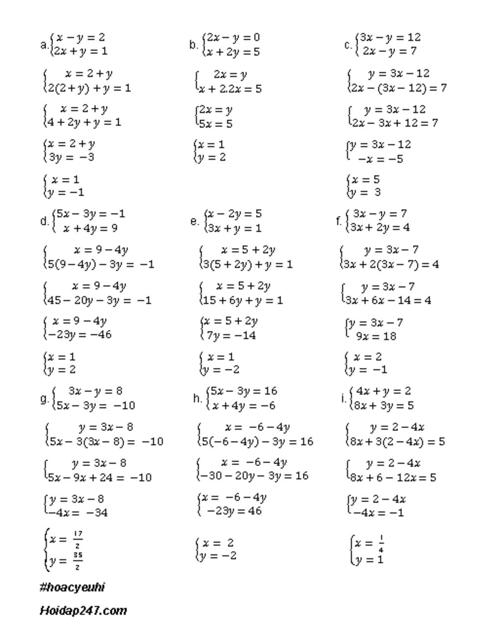
$\textbf{a)}\\ \begin{cases} x - y = 2 \\ 2x + y = 1 \end{cases} \Rightarrow x = y + 2 \\ \Rightarrow 2(y + 2) + y = 1 \Leftrightarrow 2y + 4 + y = 1 \Leftrightarrow 3y = -3 \Rightarrow y = -1 \\ \Rightarrow x = -1 + 2 = 1 \Rightarrow \text{Nghiệm: } x = 1, y = -1 \\$
$\textbf{b)}\\ \begin{cases} 2x - y = 0 \\ x + 2y = 5 \end{cases} \Rightarrow y = 2x \\ \Rightarrow x + 2(2x) = 5 \Rightarrow x + 4x = 5 \Rightarrow x = 1 \Rightarrow y = 2 \\ \Rightarrow \text{Nghiệm: } x = 1, y = 2 \\$
$\textbf{c)}\\ \begin{cases} 3x - y = 12 \\ 2x - y = 7 \end{cases} \Rightarrow y = 3x - 12 \\ \Rightarrow 2x - (3x - 12) = 7 \Rightarrow 2x - 3x + 12 = 7 \Rightarrow -x = -5 \Rightarrow x = 5 \\ \Rightarrow y = 3(5) - 12 = 3 \\ \Rightarrow \text{Nghiệm: } x = 5, y = 3 \\$
$\textbf{d)}\\ \begin{cases} 5x - 3y = -1 \\ x + 4y = 9 \end{cases} \Rightarrow x = 9 - 4y \\ \Rightarrow 5(9 - 4y) - 3y = -1 \Rightarrow 45 - 20y - 3y = -1 \Rightarrow -23y = -46 \Rightarrow y = 2 \\ \Rightarrow x = 9 - 4(2) = 1 \Rightarrow \text{Nghiệm: } x = 1, y = 2 \\$
$\textbf{e)}\\ \begin{cases} x - 2y = 5 \\ 3x + y = 1 \end{cases} \Rightarrow x = 2y + 5 \\ \Rightarrow 3(2y + 5) + y = 1 \Rightarrow 6y + 15 + y = 1 \Rightarrow 7y = -14 \Rightarrow y = -2 \\ \Rightarrow x = 2(-2) + 5 = 1 \Rightarrow \text{Nghiệm: } x = 1, y = -2 \\$
$\textbf{f)}\\ \begin{cases} 3x - y = 7 \\ 3x + 2y = 4 \end{cases} \Rightarrow y = 3x - 7 \\ \Rightarrow 3x + 2(3x - 7) = 4 \Rightarrow 3x + 6x - 14 = 4 \Rightarrow 9x = 18 \Rightarrow x = 2 \\ \Rightarrow y = 3(2) - 7 = -1 \Rightarrow \text{Nghiệm: } x = 2, y = -1 \\$
$\textbf{g)}\\ \begin{cases} 3x - y = 8 \\ 5x - 3y = -10 \end{cases} \Rightarrow y = 3x - 8 \\ \Rightarrow 5x - 3(3x - 8) = -10 \Rightarrow 5x - 9x + 24 = -10 \Rightarrow -4x = -34 \Rightarrow x = \dfrac{17}{2} \\ \Rightarrow y = 3 \cdot \dfrac{17}{2} - 8 = \dfrac{51}{2} - 8 = \dfrac{35}{2} \\ \Rightarrow \text{Nghiệm: } x = \dfrac{17}{2}, y = \dfrac{35}{2} \\$
$\textbf{h)}\\ \begin{cases} 5x - 3y = 16 \\ x + 4y = -6 \end{cases} \Rightarrow x = -6 - 4y \\ \Rightarrow 5(-6 - 4y) - 3y = 16 \Rightarrow -30 - 20y - 3y = 16 \Rightarrow -23y = 46 \Rightarrow y = -2 \\ \Rightarrow x = -6 - 4(-2) = -6 + 8 = 2 \Rightarrow \text{Nghiệm: } x = 2, y = -2 \\$
$\textbf{i)}\\ \begin{cases} 4x + y = 2 \\ 8x + 3y = 5 \end{cases} \Rightarrow y = 2 - 4x \\ \Rightarrow 8x + 3(2 - 4x) = 5 \Rightarrow 8x + 6 - 12x = 5 \Rightarrow -4x = -1 \Rightarrow x = \dfrac{1}{4} \\ \Rightarrow y = 2 - 4 \cdot \dfrac{1}{4} = 2 - 1 = 1 \Rightarrow \text{Nghiệm: } x = \dfrac{1}{4}, y = 1 \\$
$\textbf{j)}\\ \begin{cases} 2x - 3y = 2 \\ -4x + 6y = 2 \end{cases} \Rightarrow y = \dfrac{2x - 2}{3} \\ \Rightarrow -4x + 6 \cdot \dfrac{2x - 2}{3} = 2 \Rightarrow -4x + 4(2x - 2) = 2 \Rightarrow -4x + 8x - 8 = 2 \Rightarrow 4x = 10 \Rightarrow x = \dfrac{5}{2} \\ \Rightarrow y = \dfrac{2 \cdot \dfrac{5}{2} - 2}{3} = \dfrac{5 - 2}{3} = 1 \Rightarrow \text{Nghiệm: } x = \dfrac{5}{2}, y = 1 \\$
$\textbf{k)}\\ \begin{cases} 3x + 2y = 6 \\ x - y = 2 \end{cases} \Rightarrow x = y + 2 \\ \Rightarrow 3(y + 2) + 2y = 6 \Rightarrow 3y + 6 + 2y = 6 \Rightarrow 5y = 0 \Rightarrow y = 0 \\ \Rightarrow x = 2 \Rightarrow \text{Nghiệm: } x = 2, y = 0 \\$
$\textbf{l)}\\ \begin{cases} 2x - 3y = 1 \\ -4x + 6y = 2 \end{cases} \Rightarrow y = \dfrac{2x - 1}{3} \\ \Rightarrow -4x + 6 \cdot \dfrac{2x - 1}{3} = 2 \Rightarrow -4x + 4(2x - 1) = 2 \Rightarrow -4x + 8x - 4 = 2 \Rightarrow 4x = 6 \Rightarrow x = \dfrac{3}{2} \\ \Rightarrow y = \dfrac{2 \cdot \dfrac{3}{2} - 1}{3} = \dfrac{3 - 1}{3} = \dfrac{2}{3} \\ \Rightarrow \text{Nghiệm: } x = \dfrac{3}{2}, y = \dfrac{2}{3} \\$
$\textbf{m)}\\ \begin{cases} 2x + 3y = 5 \\ 5x - 4y = 1 \end{cases} \Rightarrow x = \dfrac{5 - 3y}{2} \\ \Rightarrow 5 \cdot \dfrac{5 - 3y}{2} - 4y = 1 \Rightarrow \dfrac{25 - 15y}{2} - 4y = 1 \\ \Rightarrow \dfrac{25 - 15y - 8y}{2} = 1 \Rightarrow \dfrac{25 - 23y}{2} = 1 \Rightarrow 25 - 23y = 2 \Rightarrow y = 1 \\ \Rightarrow x = \dfrac{5 - 3 \cdot 1}{2} = 1 \Rightarrow \text{Nghiệm: } x = 1, y = 1 \\$
$\textbf{n)}\\ \begin{cases} 3x - y = 7 \\ x + 2y = 0 \end{cases} \Rightarrow x = -2y \\ \Rightarrow 3(-2y) - y = 7 \Rightarrow -6y - y = 7 \Rightarrow -7y = 7 \Rightarrow y = -1 \\ \Rightarrow x = -2(-1) = 2 \Rightarrow \text{Nghiệm: } x = 2, y = -1 \\$
$\textbf{p)}\\ \begin{cases} x + 4y = 2 \\ 3x + 2y = 4 \end{cases} \Rightarrow x = 2 - 4y \\ \Rightarrow 3(2 - 4y) + 2y = 4 \Rightarrow 6 - 12y + 2y = 4 \Rightarrow -10y = -2 \Rightarrow y = \dfrac{1}{5} \\ \Rightarrow x = 2 - 4 \cdot \dfrac{1}{5} = \dfrac{6}{5} \Rightarrow \text{Nghiệm: } x = \dfrac{6}{5}, y = \dfrac{1}{5} \\$
$\textbf{q)}\\ \begin{cases} -x - y = 2 \\ -2x - 3y = 9 \end{cases} \Rightarrow x = -y - 2 \\ \Rightarrow -2(-y - 2) - 3y = 9 \Rightarrow 2y + 4 - 3y = 9 \Rightarrow -y = 5 \Rightarrow y = -5 \\ \Rightarrow x = -(-5) - 2 = 5 - 2 = 3 \Rightarrow \text{Nghiệm: } x = 3, y = -5$
Hãy giúp mọi người biết câu trả lời này thế nào?
Bảng tin