

Hãy luôn nhớ cảm ơn và vote 5*
nếu câu trả lời hữu ích nhé!
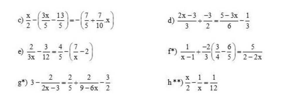
`c) x/2 - ( (3x)/5 - 13/5) = -(7/5 + 7/10 x)`
`to x/2 - (3x)/5 + 13/5 = -7/5 - 7/10x`
`to (-x)/10 + 7/10 x = -7/5 - 13/5`
`to 3/5 x= -4`
`to x = -20/3`
Vậy `x = -20/3`
`d) (2x - 3)/3 + (-3)/2 = (5 - 3x)/6 - 1/3`
`to (2x - 3)/3 - (5 - 3x)/6 = -1/3 + 3/2`
`to (4x - 6 - 5 + 3x)/6 = 7/6`
`to 7x - 11 = 7`
`to 7x = 18`
`to x = 18/7`
Vậy `x = 18/7`
`e) 2/(3x) - 3/12 = 4/5 - (7/x - 2)`
Điều kiện : `x \ne 0`
`to 2/(3x) - 1/4 = 4/5 - 7/x + 2`
`to 2/(3x) + 7/x = 14/5 + 1/4`
`to 1/x . ( 2/3 +7) = 61/20`
`to 1/x . 23/3 = 61/20`
`to 1/x = 183/460`
`to x = 460/183` (thỏa mãn)
Vậy `x = 460/183`
`f) 1/(x - 1) + -2/3(3/4 - 6/5) = 5/(2-2x)`
Điều kiện : `x \ne 1`
`to 1/(x - 1) - 5/(2 - 2x) = 2/3(3/4 - 6/5)`
`to 1/(x - 1) + 5/(2(x-1)) = 2/3 . (-9)/20`
`to 1/(x - 1) . (1 + 5/2) = -3/10`
`to 1/(x - 1) = -3/35`
`to x - 1 = -35/3`
`to x = -32/3` (thỏa mãn)
Vậy `x = -32/3`
`g) 3 - 2/(2x - 3) = 2/5 + 2/(9 - 6x) - 3/2`
`to -2/(2x - 3) - 2/(9 - 6x) = 2/5 - 3/2 - 3`
`to -2/(2x - 3) + 2/(3(2x - 3)) = (-41)/10`
`to -1/(2x - 3) . ( 2 - 2/3) = (-41)/10`
`to -1/(2x-3) = (-123)/40`
`to 2x - 3 = 40/123`
`to 2x = (409)/123`
`to x = 409/246` (thỏa mãn)
Vậy `x = 409/246`
`h) x/2 - 1/x = 1/12`
Điều kiên: `x \ne 0`
`to (x . x - 2)/(2x) = 1/12`
`to 12(x^2 - 2) = 2x`
`to 12x^2 - 2x - 24 = 0`
`to 12x^2 - 18x + 20x - 24 = 0`
`to 6x(2x - 3) + 8(2x - 3) = 0`
`to (6x + 8)(2x - 3) = 0`
`to 2x - 3 = 0` hoặc `6x + 8 = 0`
`to x = 3/2` hoặc `x = -4/3`
Vậy `x \in {3/2 ; -4/3}`
Hãy giúp mọi người biết câu trả lời này thế nào?

Bảng tin