

Bài 6 câu b , c , i ,j ,k ạaa
Hãy luôn nhớ cảm ơn và vote 5*
nếu câu trả lời hữu ích nhé!
`\color{#0074D9}{#y}\color{#0088DD}{l}\color{#3399FF}{i}\color{#66AAFF}{n}\color{#99CCFF}{h}`
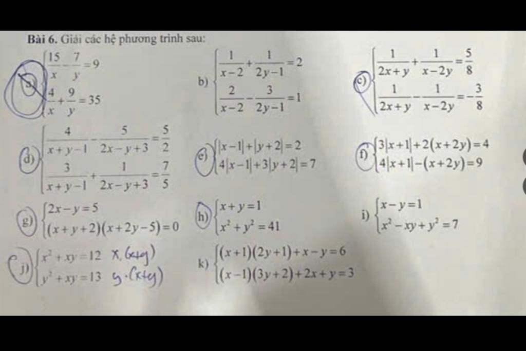
$\text{Giải hệ phương trình:}$ $$ \begin{cases} \dfrac{15}{x} + \dfrac{7}{y} = 9 \\ \dfrac{4}{x} + \dfrac{9}{y} = 35 \end{cases} $$ $\text{Đặt: } \dfrac{1}{x} = u,\ \dfrac{1}{y} = v$, ta có hệ: $$ \begin{cases} 15u + 7v = 9 \\ 4u + 9v = 35 \end{cases} $$ $\text{Nhân (1) với 4:}$ $$ 60u + 28v = 36 \quad \text{(3)} $$ $\text{Nhân (2) với 15:} $ $$ 60u + 135v = 525 \quad \text{(4)} $$ $\text{Lấy (4) trừ (3):} $ $$ (60u + 135v) - (60u + 28v) = 525 - 36 \\ \Rightarrow 107v = 489 \Rightarrow v = \dfrac{489}{107} \Rightarrow y = \dfrac{1}{v} = \dfrac{107}{489} $$ $\text{Thay vào (1):}$ $$ 15u + 7 \cdot \dfrac{489}{107} = 9 \Rightarrow 15u + \dfrac{3423}{107} = 9 \\ \Rightarrow 15u = \dfrac{963 - 3423}{107} = \dfrac{-2460}{107} \\ \Rightarrow u = \dfrac{-164}{107} \Rightarrow x = \dfrac{1}{u} = \dfrac{107}{-164} $$ $\text{Vậy nghiệm của hệ phương trình là:} $ $$ \boxed{x = \dfrac{107}{-164}, \quad y = \dfrac{107}{489}} $$
$\text{Câu b. Giải hệ phương trình:}$ $$ \begin{cases} \dfrac{1}{x - 2} + \dfrac{1}{2y - 1} = 2 \\ \dfrac{2}{x - 2} - \dfrac{3}{2y - 1} = 1 \end{cases} $$ $\text{Đặt:}$ $\dfrac{1}{x - 2} = u$, $\dfrac{1}{2y - 1} = v$, ta được: $$ \begin{cases} u + v = 2 \\ 2u - 3v = 1 \end{cases} $$ Giải hệ: Từ phương trình (1): $v = 2 - u$ Thế vào (2): $$ 2u - 3(2 - u) = 1 \Rightarrow 2u - 6 + 3u = 1 \Rightarrow 5u = 7 \Rightarrow u = \dfrac{7}{5} $$ $$ v = 2 - \dfrac{7}{5} = \dfrac{3}{5} $$ $\text{Suy ra:}$ $$ \dfrac{1}{x - 2} = \dfrac{7}{5} \Rightarrow x - 2 = \dfrac{5}{7} \Rightarrow x = \dfrac{5}{7} + 2 = \dfrac{19}{7} $$ $$ \dfrac{1}{2y - 1} = \dfrac{3}{5} \Rightarrow 2y - 1 = \dfrac{5}{3} \Rightarrow 2y = \dfrac{8}{3} \Rightarrow y = \dfrac{4}{3} $$ $\text{Vậy nghiệm là:}$ $$ \boxed{x = \dfrac{19}{7}, \quad y = \dfrac{4}{3}} $$
$\text{Câu c. Giải hệ phương trình:}$ $$ \begin{cases} \dfrac{1}{2x + y} + \dfrac{1}{x - 2y} = \dfrac{5}{8} \\ \dfrac{1}{2x + y} - \dfrac{1}{x - 2y} = -\dfrac{3}{8} \end{cases} $$ $\text{Đặt:}$ $\dfrac{1}{2x + y} = u,\ \dfrac{1}{x - 2y} = v$, ta có: $$ \begin{cases} u + v = \dfrac{5}{8} \\ u - v = -\dfrac{3}{8} \end{cases} $$ Cộng hai phương trình: $$ 2u = \dfrac{5}{8} + (-\dfrac{3}{8}) = \dfrac{2}{8} = \dfrac{1}{4} \Rightarrow u = \dfrac{1}{8} $$ $$ v = \dfrac{5}{8} - \dfrac{1}{8} = \dfrac{4}{8} = \dfrac{1}{2} $$ $\text{Giải lại:}$ $$ \dfrac{1}{2x + y} = \dfrac{1}{8} \Rightarrow 2x + y = 8 \\ \dfrac{1}{x - 2y} = \dfrac{1}{2} \Rightarrow x - 2y = 2 $$ Giải hệ: $$ \begin{cases} 2x + y = 8 \\ x - 2y = 2 \end{cases} $$ Nhân (2) với 2: $$ 2x - 4y = 4 $$ Trừ 2 phương trình: $$ (2x + y) - (2x - 4y) = 8 - 4 \Rightarrow 5y = 4 \Rightarrow y = \dfrac{4}{5} $$ Thay lại: $$ x = 2 + 2y = 2 + \dfrac{8}{5} = \dfrac{18}{5} $$ $\text{Vậy nghiệm là:}$ $$ \boxed{x = \dfrac{18}{5}, \quad y = \dfrac{4}{5}} $$
$\text{Câu d. Giải hệ phương trình:}$ $$ \begin{cases} \dfrac{4}{x + y - 1} + \dfrac{5}{2x - y + 3} = 2 \\ \dfrac{3}{x + y - 1} + \dfrac{1}{2x - y + 3} = 7 \end{cases} $$ $\text{Đặt: }$ $u = \dfrac{1}{x + y - 1}$, $v = \dfrac{1}{2x - y + 3}$, ta có: $$ \begin{cases} 4u + 5v = 2 \\ 3u + v = 7 \end{cases} $$ Từ (2): $v = 7 - 3u$. Thế vào (1): $$ 4u + 5(7 - 3u) = 2 \Rightarrow 4u + 35 - 15u = 2 \\ \Rightarrow -11u = -33 \Rightarrow u = 3 $$ $$ v = 7 - 3 \cdot 3 = -2 $$ Trở lại ẩn x, y: $$ \dfrac{1}{x + y - 1} = 3 \Rightarrow x + y = \dfrac{4}{3} \\ \dfrac{1}{2x - y + 3} = -2 \Rightarrow 2x - y + 3 = -\dfrac{1}{2} \Rightarrow 2x - y = -\dfrac{7}{2} $$ $\text{Giải hệ:}$ $$ \begin{cases} x + y = \dfrac{4}{3} \\ 2x - y = -\dfrac{7}{2} \end{cases} $$ Cộng hai phương trình: $$ 3x = \dfrac{4}{3} - \dfrac{7}{2} = \dfrac{-13}{6} \Rightarrow x = \dfrac{-13}{18} $$ $$ y = \dfrac{4}{3} - x = \dfrac{4}{3} + \dfrac{13}{18} = \dfrac{24 + 13}{18} = \dfrac{37}{18} $$ $\text{Vậy nghiệm là:}$ $$ \boxed{x = \dfrac{-13}{18}, \quad y = \dfrac{37}{18}} $$
$\text{Câu e. Giải hệ phương trình:}$ $$ \begin{cases} |x - 1| + |y + 2| = 2 \\ 4|x - 1| + 3|y + 2| = 7 \end{cases} $$ $\text{Đặt: }$ $u = |x - 1|,\ v = |y + 2|$ $$ \begin{cases} u + v = 2 \\ 4u + 3v = 7 \end{cases} $$ Từ (1): $v = 2 - u$ Thế vào (2): $$ 4u + 3(2 - u) = 7 \Rightarrow 4u + 6 - 3u = 7 \Rightarrow u = 1,\ v = 1 $$ Giải: $$ |x - 1| = 1 \Rightarrow x = 0 \text{ hoặc } x = 2 \\ |y + 2| = 1 \Rightarrow y = -3 \text{ hoặc } y = -1 $$ Thử từng cặp: - $(x, y) = (0, -3)$: thỏa - $(2, -3)$: thỏa - $(0, -1)$: thỏa - $(2, -1)$: thỏa $\\$ $\text{Vậy nghiệm là:}$ $$ \boxed{(0, -3),\ (2, -3),\ (0, -1),\ (2, -1)} $$
$\text{Câu f. Giải hệ phương trình:}$ $$ \begin{cases} 3|x + 1| + 2(x + 2y) = 4 \\ 4|x + 1| - (x + 2y) = 9 \end{cases} $$ Đặt $u = |x + 1|,\ v = x + 2y$, ta có: $$ \begin{cases} 3u + 2v = 4 \\ 4u - v = 9 \end{cases} $$ Từ (2): $v = 4u - 9$ Thế vào (1): $$ 3u + 2(4u - 9) = 4 \Rightarrow 3u + 8u - 18 = 4 \Rightarrow 11u = 22 \Rightarrow u = 2 $$ $$ v = 4u - 9 = 8 - 9 = -1 $$ Vậy: $$ |x + 1| = 2 \Rightarrow x = 1 \text{ hoặc } x = -3 \\ x + 2y = -1 $$ Thử từng trường hợp: - $x = 1 \Rightarrow 1 + 2y = -1 \Rightarrow y = -1$ - $x = -3 \Rightarrow -3 + 2y = -1 \Rightarrow y = 1$ $\\$ $\text{Vậy nghiệm là:}$ $$ \boxed{(1,\ -1),\ (-3,\ 1)} $$
$\text{Câu g. Giải hệ:}$ $$ \begin{cases} 2x - y = 5 \\ (x + y + 2)(x + 2y - 5) = 0 \end{cases} $$ Có 2 trường hợp: 1. $x + y + 2 = 0 \Rightarrow x = -y - 2$ Thế vào (1): $$ 2(-y - 2) - y = 5 \Rightarrow -2y - 4 - y = 5 \Rightarrow -3y = 9 \Rightarrow y = -3,\ x = 1 $$ 2. $x + 2y - 5 = 0 \Rightarrow x = 5 - 2y$ Thế vào (1): $$ 2(5 - 2y) - y = 5 \Rightarrow 10 - 4y - y = 5 \Rightarrow -5y = -5 \Rightarrow y = 1,\ x = 3 $$ $\text{Vậy nghiệm là:}$ $$ \boxed{(1,\ -3),\ (3,\ 1)} $$
$\text{Câu h. Giải hệ:}$ $$ \begin{cases} x + y = 1 \\ x^2 + y^2 = 41 \end{cases} $$ Từ (1): $x = 1 - y$ Thế vào (2): $$ (1 - y)^2 + y^2 = 41 \Rightarrow 1 - 2y + y^2 + y^2 = 41 \\ \Rightarrow 2y^2 - 2y - 40 = 0 \Rightarrow y^2 - y - 20 = 0 $$ Giải: $$ \Delta = 1^2 + 4 \cdot 20 = 81 \Rightarrow y = \dfrac{1 \pm 9}{2} = 5 \text{ hoặc } -4 $$ Tương ứng $x = -4$ hoặc $5$ $\\$ $\text{Vậy nghiệm là:}$ $$ \boxed{(x, y) = (-4,\ 5)\ \text{hoặc } (5,\ -4)} $$
$\text{Câu i. Giải hệ phương trình:}$ $$ \begin{cases} x - y = 1 \\ x^2 - xy + y^2 = 7 \end{cases} $$ Từ phương trình (1): $x = y + 1$ Thay vào (2): $$ (y + 1)^2 - (y + 1)y + y^2 = 7 \\ \Rightarrow y^2 + 2y + 1 - y^2 - y + y^2 = 7 \\ \Rightarrow y^2 + y + 1 = 7 \Rightarrow y^2 + y - 6 = 0 $$ Giải phương trình: $$ \Delta = 1^2 + 4 \cdot 6 = 25 \Rightarrow y = \dfrac{-1 \pm 5}{2} $$ Vậy: - $y = 2 \Rightarrow x = 3$ - $y = -3 \Rightarrow x = -2$ $\\$ $\text{Vậy nghiệm của hệ là:}$ $$ \boxed{(x, y) = (3, 2)\ \text{hoặc } (-2,\ -3)} $$
$\text{Câu j. Giải hệ phương trình:}$ $$ \begin{cases} x^2 + xy = 12 \\ y^2 + xy = 13 \end{cases} $$ $\text{Lấy phương trình (2) trừ phương trình (1):}$ $$ y^2 + xy - (x^2 + xy) = 13 - 12 \Rightarrow y^2 - x^2 = 1 \\ \Rightarrow (y - x)(y + x) = 1 \tag{3} $$ $\text{Từ (1):}$ $x^2 + xy = 12 \Rightarrow x(x + y) = 12 \tag{4}$ Đặt $S = x + y$, $D = y - x$, thì từ (3) ta có: $$ D \cdot S = 1 \Rightarrow D = \dfrac{1}{S} $$ Từ đó: $$ x = \dfrac{S - D}{2} = \dfrac{S - \frac{1}{S}}{2} \Rightarrow x = \dfrac{S^2 - 1}{2S} $$ Thay vào (4): $$ \dfrac{S^2 - 1}{2S} \cdot S = 12 \Rightarrow \dfrac{S^2 - 1}{2} = 12 \Rightarrow S^2 - 1 = 24 \Rightarrow S^2 = 25 \Rightarrow S = \pm 5 $$ - Với $S = 5 \Rightarrow D = \dfrac{1}{5}$: $$ x = \dfrac{5 - \frac{1}{5}}{2} = \dfrac{24}{10} = \dfrac{12}{5} \\ y = S - x = 5 - \dfrac{12}{5} = \dfrac{13}{5} $$ - Với $S = -5 \Rightarrow D = -\dfrac{1}{5}$: $$ x = \dfrac{-5 - (-\frac{1}{5})}{2} = \dfrac{-24}{10} = -\dfrac{12}{5} \\ y = -5 - (-\dfrac{12}{5}) = -\dfrac{13}{5} $$ $\text{Vậy nghiệm của hệ là:}$ $$ \boxed{(x, y) = \left(\dfrac{12}{5}, \dfrac{13}{5} \right) \ \text{hoặc} \ \left( -\dfrac{12}{5}, -\dfrac{13}{5} \right)} $$
$\text{Câu k. Giải hệ phương trình:}$ \begin{cases} (x+1)(2y+1) + x - y = 6 \\ (x-1)(3y+2) + 2x + y = 3 \end{cases} $\text{Khai triển phương trình (1):}$ $(x+1)(2y+1) + x - y = 6 \\$ $2xy + x + 2y + 1 + x - y = 6 \\ 2xy + 2x + y = 5 \quad \text{(1')}$ $\text{Khai triển phương trình (2):}$ $(x-1)(3y+2) + 2x + y = 3 \\ 3xy + 2x - 3y - 2 + 2x + y = 3 \\ 3xy + 4x - 2y = 5 \quad \text{(2')}$ $\text{Từ (1'): } y = 5 - 2xy - 2x \\ \text{Thay vào (2'):}$ $ 3xy + 4x - 2(5 - 2xy - 2x) = 5 \\ 3xy + 4x - 10 + 4xy + 4x = 5 \\ 7xy + 8x = 15$ $\text{Đặt } A = xy. Ta có: \\ 7A + 8x = 15 \Rightarrow A = \dfrac{5x - 2x^2}{1 + 2x}$ $\text{Thay lại:} \\ 7 \cdot \dfrac{5x - 2x^2}{1 + 2x} + 8x = 15 \\ \dfrac{43x + 2x^2}{1 + 2x} = 15 \\ \Rightarrow 43x + 2x^2 = 15 + 30x \\ \Rightarrow 2x^2 + 13x - 15 = 0$ $\text{Giải phương trình:} \\ x = \dfrac{-13 \pm \sqrt{289}}{4} = \dfrac{-13 \pm 17}{4} \\ \Rightarrow x = 1 \text{ hoặc } x = -\dfrac{15}{2}$ $\text{Với } x = 1: \\ 2y + 2 + y = 5 \Rightarrow 3y = 3 \Rightarrow y = 1 \Rightarrow (x, y) = (1, 1)$ $\text{Với } x = -\dfrac{15}{2}: \\$ $-15y -15 + y = 5 \Rightarrow -14y = 20 \Rightarrow y = -\dfrac{10}{7} \\ \Rightarrow (x, y) = \left( -\dfrac{15}{2}, -\dfrac{10}{7} \right)\\ \text{Vậy nghiệm của hệ là: } (x, y) = (1, 1) \text{ hoặc } \left( -\dfrac{15}{2}, -\dfrac{10}{7} \right)$
Hãy giúp mọi người biết câu trả lời này thế nào?
Bảng tin