

Tìm x biết ( nhanh nhanh ạ em cần lắm r sáng mai em phải nộp r ạ)
Hãy luôn nhớ cảm ơn và vote 5*
nếu câu trả lời hữu ích nhé!
Đáp án+Giải thích các bước giải:
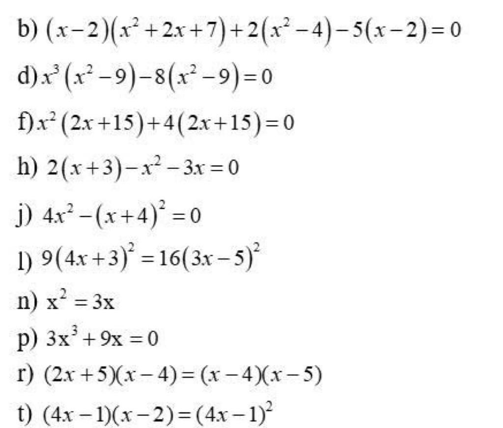
`b)` `(x - 2)(x^2 + 2x + 7) + 2(x^2 - 4) - 5(x - 2) = 0`
`=>(x - 2)(x^2 + 2x + 7) + 2(x - 2)(x + 2) - 5(x - 2) = 0`
`=>(x - 2) [ (x^2 + 2x + 7) + 2(x + 2) - 5 ] = 0`
`=>(x - 2) [ x^2 + 2x + 7 + 2x + 4 - 5 ] = 0`
`=>(x - 2) [ x^2 + 4x + 6 ] = 0`
`=> x - 2 = 0` hoặc `x^2 + 4x + 6 = 0`
*`TH1:` `x - 2 = 0 => x = 2`
*`TH2:` `x^2 + 4x + 6 = 0`
`=>x^2 + 4x + 4 + 2 = 0`
`=>(x + 2)^2 + 2 = 0`
`=>(x + 2)^2 = -2`
`\text{Vì` `(x + 2)^2 >= 0 AA x`
`\text{Mà` `-2<0`
`\text{Nên` `(x+2)^2=-2` `\text{(vô lý)`
`\text{Vậy` `x = 2.`
`d)` `x^3(x^2 - 9) - 8(x^2 - 9) = 0`
`=>(x^2 - 9)(x^3 - 8) = 0`
`=>(x - 3)(x + 3)(x - 2)(x^2 + 2x + 4) = 0`
`=> x - 3 = 0` hoặc `x + 3 = 0` hoặc `x - 2 = 0` hoặc `x^2 + 2x + 4 = 0`
*`TH1:` `x - 3 = 0 => x = 3`
*`TH2:` `x + 3 = 0 => x = -3`
*`TH3:` `x - 2 = 0 => x = 2`
*`TH4:` `x^2 + 2x + 4 = 0`
`=>x^2 + 2x + 1 + 3 = 0`
`=>(x + 1)^2 + 3 = 0`
`=>(x + 1)^2 = -3`
`\text{Vì` `(x + 1)^2 >= 0 AA x`
`\text{nên` `(x + 1)^2 = -3` `\text{(vô lý).`
`\text{Vậy` `x in {3; -3; x = 2}.`
`f)` `x^2(2x + 15) + 4(2x + 15) = 0`
`=>(2x + 15)(x^2 + 4) = 0`
`=> 2x + 15 = 0` hoặc `x^2 + 4 = 0`
*`TH1:` `2x + 15 = 0 => 2x = -15 => x = -15/2`
*`TH2:` `x^2 + 4 = 0 => x^2 = -4`
`\text{Vì` `x^2 >= 0`
`\text{nên` `x^2 = -4` `\text{(vô lý)`
`\text{Vậy` `x = -15/2.`
`h)` `2(x + 3) - x^2 - 3x = 0`
`=>2x + 6 - x^2 - 3x = 0`
`=>-x^2 - x + 6 = 0`
`=>x^2 + x - 6 = 0`
`=>x^2 + 3x - 2x - 6 = 0`
`=>x(x + 3) - 2(x + 3) = 0`
`=>(x + 3)(x - 2) = 0`
`=> x + 3 = 0` hoặc `x - 2 = 0`
`=> x = -3` hoặc `x = 2.`
`j)` `4x^2 - (x + 4)^2 = 0`
`=>(2x)^2 - (x + 4)^2 = 0`
`=>(2x - (x + 4))(2x + (x + 4)) = 0`
`=>(2x - x - 4)(2x + x + 4) = 0`
`=>(x - 4)(3x + 4) = 0`
`=> x - 4 = 0` hoặc `3x + 4 = 0`
`=>x = 4` hoặc `x = -4/3.`
`l)` `9(4x + 3)^2 = 16(3x - 5)^2`
`=>(3(4x + 3))^2 = (4(3x - 5))^2`
`=>(12x + 9)^2 = (12x - 20)^2`
`=>(12x + 9)^2 - (12x - 20)^2 = 0`
`=>( (12x + 9) - (12x - 20) ) ( (12x + 9) + (12x - 20) ) = 0`
`=>(12x + 9 - 12x + 20) (12x + 9 + 12x - 20) = 0`
`=>(29) (24x - 11) = 0`
`=> 24x - 11 = 0`
`=> 24x = 11`
`=> x = 11/24.`
`n)` `x^2 = 3x`
`=>x^2 - 3x = 0`
`=>x(x - 3) = 0`
`=> x = 0` hoặc `x - 3 = 0`
`=> x = 0` hoặc `x = 3.`
`p)` `3x^3 + 9x = 0`
`=>3x(x^2 + 3) = 0`
`=> 3x = 0` hoặc `x^2 + 3 = 0`
*`TH1:` `3x = 0 => x = 0`
*`TH2:` `x^2 + 3 = 0 => x^2 = -3`
`\text{Vì` `x^2 >= 0`
`\text{nên` `x^2 = -3` `\text{(vô lý)`
`\text{Vậy` `x = 0.`
`r)` `(2x + 5)(x - 4) = (x - 4)(x - 5)`
`=>(2x + 5)(x - 4) - (x - 4)(x - 5) = 0`
`=>(x - 4) [ (2x + 5) - (x - 5) ] = 0`
`=>(x - 4) [ 2x + 5 - x + 5 ] = 0`
`=>(x - 4)(x + 10) = 0`
`=> x - 4 = 0` hoặc `x + 10 = 0`
`=> x = 4` hoặc `x = -10.`
`t)` `(4x - 1)(x - 2) = (4x - 1)^2`
`=>(4x - 1)(x - 2) - (4x - 1)^2 = 0`
`=>(4x - 1) [ (x - 2) - (4x - 1) ] = 0`
`=>(4x - 1) [ x - 2 - 4x + 1 ] = 0`
`=>(4x - 1) ( -3x - 1 ) = 0`
`=> 4x - 1 = 0` hoặc `-3x - 1 = 0`
*`TH1:` `4x - 1 = 0 => 4x = 1 => x = 1/4`
*`TH2:` `-3x - 1 = 0 => -3x = 1 => x = -1/3.`
$#Jack148k11$
Hãy giúp mọi người biết câu trả lời này thế nào?
![]()
Bảng tin
1607
4
1533
:O mệt qus @_@
0
0
0
Cảm ơn cảm ơn
1607
4
1533
lm lé mắt r bạn ơi .-.
0
0
0
Cho tui hỏi là A ngược là gì á bn
1607
4
1533
là với mọi x ấy ạ
0
0
0
Cảm ơn ạ
1607
4
1533
kcj ạ .-.