

các bn ơi lm giúp tớ vs ạ 7h tớ đi hc ròi:((((
Hãy luôn nhớ cảm ơn và vote 5*
nếu câu trả lời hữu ích nhé!
Đáp án + Giải thích các bước giải:
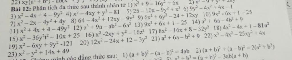
Bài $\textbf{12}:$
$\textbf{1}\bigg)$
$\begin{array}{l} & x^2 + 9 - 16y^2 + 6x
\\ &= x^2 + 6x + 9 - 16y^2
\\ &= (x + 3)^2 - (4y)^2
\\ &= (x + 4y + 3)(x - 4y + 3) \end {array}$
$\textbf{2}\bigg)$
$\begin{array}{l} & x^2 - 9 + y^2 + 2xy
\\ &= x^2 + 2xy + y^2 - 9
\\ &= (x + y)^2 - 3^2
\\ &= (x + y + 3)(x+ y - 3) \end {array}$
$\textbf{3}\bigg)$
$\begin{array}{l} & x^2 - 4x + 4 - 9y^2
\\ &= (x - 2)^2 - (3y)^2
\\ &= (x + 3y - 2)(x - 3y - 2) \end {array}$
$\textbf{4}\bigg)$ Xem lại đề
$\textbf{5}\bigg)$
$\begin{array}{l} &25 - 10x - 9y^2 + x^2
\\ &= x^2 - 10x + 25 -(3y)^2
\\ &= (x - 5)^2 - (3y)^2
\\ &= (x + 3y - 5)(x - 3y - 5)\end {array}$
$\textbf{6}\bigg)$
$\begin{array}{l} & 9y^2 - 4x^2 + 4x - 1
\\ &= 9y^2 - (4x^2 - 4x + 1)
\\ &= (3y)^2 - (2x - 1)^2
\\ &= (3y + 2x - 1)(3y - 2x + 1) \end{array}$
$\textbf{7}\bigg)$
$\begin{array}{l} & x^2 - 2x - 4y^2 + 4y
\\ &= x^2 - 2x + 1 - 4y^2 + 4y - 1
\\ &= (x - 1)^2 - (4y^2 - 4y + 1)
\\ &= (x - 1)^2 - (2y - 1)^2
\\ &= (x - 1 + 2y - 1)(x - 1 - 2y + 1)
\\ &= (x + 2y - 2)(x - 2y)\end{array}$
$\textbf{8}\bigg)$
$\begin{array}{l} & 64 - 4x^2 + 12xy - 9y^2
\\ &= 64 - (4x^2 - 12xy + 9y^2)
\\ &= 8^2 - (2x - 3y)^2
\\ &= (8 + 2x -3y)(8 - 2x + 3y)\end{array}$
$\textbf{9}\bigg)$
$\begin{array}{l} & 6x^2 + 6y^2 - 24 +12xy
\\ &= 6(x^2 + 2xy + y^2 - 4)
\\ &= 6[(x + y)^2 - 2^2]
\\ &= 6(x + y + 2)(x + y - 2)\end{array}$
$\textbf{10}\bigg)$
$\begin{array}{l} & 9x^2 - 6x + 1 - 25
\\ &= (3x - 1)^2 - 5^2
\\ &= (3x - 1 + 5)(3x - 1 - 5)
\\ &= (3x + 4)(3x - 6)\end{array}$
$\textbf{11}\bigg)$
$\begin{array}{l} & x^2 + 4x + 4 - 49y^2
\\ &= (x + 2)^2 - (7y)^2
\\ &= (x + 7y + 2)(x - 7y + 2)\end{array}$
$\textbf{12}\bigg)$
$\begin{array}{l} & a^3 + 9a - ab^2 - 6a^2
\\ &= a(a^2 + 9 - b^2 - 6a)
\\ &= a(a^2 -6a + 9 - b^2)
\\ &= a[(a - 3)^2 - b^2]
\\ &= a(a + b - 3)(a - b - 3)\end{array}$
$\textbf{13}\bigg)$
$\begin{array}{l} & 9x^2 + 6x + 1 - 25
\\ &= (3x + 1)^2 - 5^2
\\ &= (3x + 1 + 5)(3x + 1 - 5)
\\ &= (3x + 6)(3x - 4)\end{array}$
$\textbf{14}\bigg)$
$\begin{array}{l} & a^2 + 6a - 4b^2 + 9
\\ &= (a + 3)^2 - (2b)^2
\\ &= (a + 2b + 3)(a - 2b + 3)\end{array}$
$\textbf{15}\bigg)$
$\begin{array}{l} & x^2 - 36y^2t^2 - 10x + 25
\\ &= (x - 5)^2 - (6yt)^2
\\ &= (x + 6yt -5 )(x - 6yt -5 )\end{array}$
$\textbf{16}\bigg)$
$\begin{array}{l} & x^2 - 2xy + y^2 - 16z^2
\\ &= (x - y)^2 - (4z)^2
\\ &= (x + 4z - y)(x - 4z - y)\end{array}$
$\textbf{17}\bigg)$
$\begin{array}{l} & 8x^2 - 16x + 8 - 32y^2
\\ &= 8(x^2 - 2x + 1 - 4y^2)
\\ &= 8[(x - 1)^2 - (2y)^2]
\\ &= 8(x + 2y - 1)(x - 2y - 1)\end{array}$
$\textbf{18}\bigg)$
$\begin{array}{l} & 4x^2 - 4x + 1 - 81a^2
\\ &= (2x - 1)^2 - (9a)^2
\\ &= (2x + 9a - 1)(2x - 9a - 1)\end{array}$
$\textbf{19}\bigg)$
$\begin{array}{l} & x^2 - 6xy + 9y^2 - 121
\\ &= (x - 3y)^2 - 11^2
\\ &= (x - 3y + 11)(x - 3y - 11)\end{array}$
$\textbf{20}\bigg)$
$\begin{array}{l} & 12x^2 - 24x + 12 - 3y^2
\\ &= 3(4x^2 - 8x + 4 - y^2)
\\ &= 3[(2x - 2)^2 - y^2]
\\ &= 3(2x + y - 2)(2x - y - 2)\end{array}$
$\textbf{21}\bigg)$
$\begin{array}{l} & a^2 + 6a - b^2 + 9
\\ &= a^2 + 6a + 9 - b^2
\\ &= (a + 3)^2 - b^2
\\ &= (a + b + 3)(a - b + 3)\end{array}$
$\textbf{22}\bigg)$
$\begin{array}{l} & x^3 - 4x^2 - 25xy^2 + 4x
\\ &= x(x^2 - 4x - 25y^2 + 4)
\\ &= x(x^2 - 4x + 4 - 25y^2)
\\ &= x[(x - 2)^2 - (5y)^2]
\\ &= x(x + 5y - 2)(x - 5y - 2)\end{array}$
$\textbf{23}\bigg)$
$\begin{array}{l} & x^2 - y^2 + 14x + 49
\\ &= x^2 + 14x + 49 - y^2
\\ &= (x + 7)^2 - y^2
\\ &= (x + y + 7)(x - y + 7)\end{array}$
Hãy giúp mọi người biết câu trả lời này thế nào?

Bảng tin
7057
141783
6257
tải lại trang nha
100
466
55
giỏi v
728
1027
842
bạn ơi làm hộ mk bài này dc k ạ 8034901
728
1027
842
hoặc bạn nhìn sơ qua r noi mình phần "=" xảy ra khi nào thôi cũng được