

Hãy luôn nhớ cảm ơn và vote 5*
nếu câu trả lời hữu ích nhé!
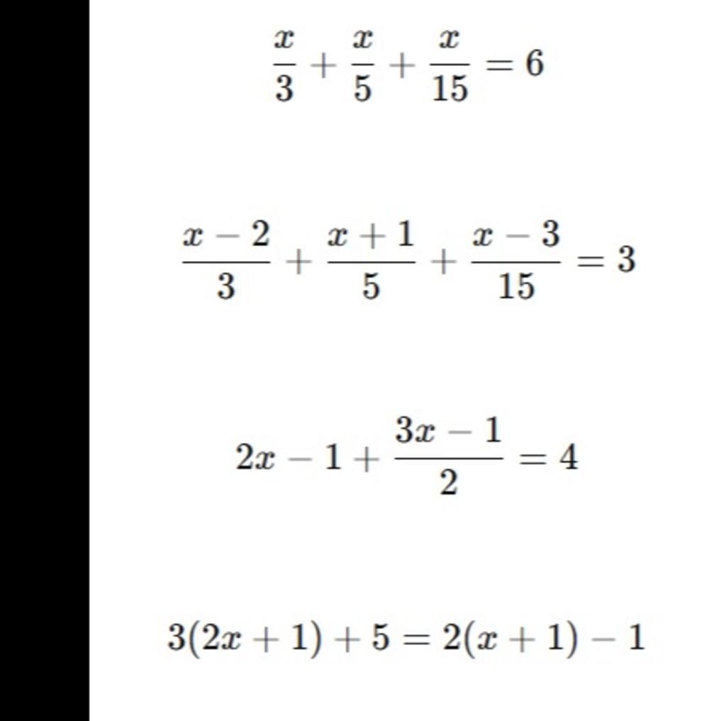
`x/3+x/5+x/15=6`
`5x+3x+x=90`
`9x=90`
`x=10`
Vậy `x=10`
`(x-2)/3+(x+1)/5+(x-3)/15=3`
`5(x-2)+3(x+1)+x-3=45`
`5x-10+3x+3+x-3=45`
`9x-10=45`
`9x=55`
`x=55/9`
Vậy `x=55/9`
`2x-1+(3x-1)/2=4`
`2(2x-1)+3x-1=8`
`4x-2+3x-1=8`
`7x-3=10`
`7x=11`
Vậy `x=11/7`
`3(2x+1)+5=2(x+1)-1`
`6x+3+5=2x+2-1`
`6x+8=2x+1`
`6x-2x=1-8`
`4x=-7`
`x=-7/4`
Vậy `x=-7/4`
Hãy giúp mọi người biết câu trả lời này thế nào?
![]()
`\color{#a8b0b4}{⸻}\color{#91999d}{⸻}\color{#7a8286}{『}\color{#636b6f}{♡} \color{#4c5356}{E}\color{#434a4d}{m}\color{#3b4244}{p}\color{#2a3133}{t}\color{#21282a}{y}\color{#1a2123}{B}\color{#141a1c}{o} \color{#0f1516}{y} \color{#05090a}{♡}\color{#0a1011}{』}\color{#141a1c}{⸻}\color{#1a2123}{⸻}`
`1)`
`x/3+x/5+x/15=6`
`(5x+3x+x)/15=6`
`(9x)/15=6`
`9x=6*14=90`
`x=90:9`
`x=10`
`2)`
`(x-2)/3+(x+1)/5+(x-3)/15=3`
`{5(x-2)}/15+{3(x+1)}/15+{x-3}/15=3`
`{5x-10+3x+3+x-3}/15=3`
`(9x-10)/15=3`
`9x-10=3*15=45`
`9x=45+10=55`
`x=55/9`
`3)`
`2x-1+(3x-1)/2=4`
`{2(2x-1)}/2+{3x-1}/2=4`
`{4x-2+3x-1}/2=4`
`(7x-3)/2=4`
`7x-3=8`
`7x=11`
`x=11/7`
`4)`
`3(2x+1)+5=2(x+1)-1`
`6x+3+5=2x+2-1`
`6x+8=2x+1`
`6x-2x=1-8`
`4x=-7`
`x=-7/4`
Hãy giúp mọi người biết câu trả lời này thế nào?
![]()
Bảng tin