

Hãy luôn nhớ cảm ơn và vote 5*
nếu câu trả lời hữu ích nhé!
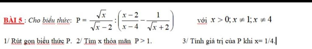
`1)`
`P=(\sqrt{x})/(\sqrt{x}-2)÷((x-2)/(x-4)-1/(\sqrt{x}+2))`
`P=(\sqrt{x})/(\sqrt{x}-2)÷[(x-2)/((\sqrt{x}+2)(\sqrt{x}-2))-1/(\sqrt{x}+2)]`
`P=(\sqrt{x})/(\sqrt{x}-2)÷(x-2-1(\sqrt{x}-2))/((\sqrt{x}+2)(\sqrt{x}-2))`
`P=(\sqrt{x})/(\sqrt{x}-2)÷(x-2-\sqrt{x}+2)/((\sqrt{x}+2)(\sqrt{x}-2))`
`P=(\sqrt{x})/(\sqrt{x}-2)÷(x-\sqrt{x})/((\sqrt{x}+2)(\sqrt{x}-2))`
`P=(\sqrt{x})/(\sqrt{x}-2)·((\sqrt{x}+2)(\sqrt{x}-2))/(x-\sqrt{x})`
`P=(\sqrt{x})/(\sqrt{x}-2)·((\sqrt{x}+2)(\sqrt{x}-2))/(\sqrt{x}(\sqrt{x}-1))`
`P=(\sqrt{x}+2)/(\sqrt{x}-1)`
`2)`
Để `P>1` thì
`(\sqrt{x}+2)/(\sqrt{x}-1)>1`
`(\sqrt{x}+2)/(\sqrt{x}-1)-1>0`
`(\sqrt{x}+2-1(\sqrt{x}-1))/(\sqrt{x}-1)>0`
`(\sqrt{x}+2-\sqrt{x}+1)/(\sqrt{x}-1)>0`
`3/(\sqrt{x}-1)>0`
Ta có: `3>0`
`\sqrt{x}-1>0`
`\sqrt{x}>1`
`x>1`
Vậy `x>1`
`3)`
Thay `x=1/4`, ta có:
`P=(\sqrt{1/4}+2)/(\sqrt{1/4}-1)`
`P=(1/2+2)/(1/2-1)`
`P=5/2÷(-1/2)`
`P=5/2·(-2)`
`P=-5`
Hãy giúp mọi người biết câu trả lời này thế nào?

Đáp án + Giải thích các bước giải:
$\textbf{1}\big/$
$\begin{array}{l} \textbf{P} &= \dfrac{\sqrt{x}}{\sqrt{x} - 2} : \bigg(\dfrac{x - 2}{x - 4} - \dfrac{1}{\sqrt{x} + 2}\bigg) (x > 0, x \ne 1; 4)
\\ &= \dfrac{\sqrt{x}}{\sqrt{x} - 2} : \bigg(\dfrac{x - 2}{(\sqrt{x} + 2)(\sqrt{x} - 2)} - \dfrac{1}{\sqrt{x} + 2}\bigg)
\\ &= \dfrac{\sqrt{x}}{\sqrt{x} - 2} : \bigg(\dfrac{x - 2}{(\sqrt{x} + 2)(\sqrt{x} - 2)} - \dfrac{\sqrt{x} - 2}{(\sqrt{x} + 2)(\sqrt{x} - 2)}\bigg)
\\ &= \dfrac{\sqrt{x}}{\sqrt{x} - 2} : \dfrac{x - \sqrt{x}}{(\sqrt{x} + 2)(\sqrt{x} - 2)}
\\ &= \dfrac{\sqrt{x}}{\sqrt{x} - 2} \cdot \dfrac{(\sqrt{x} + 2)(\sqrt{x} - 2)}{\sqrt{x}(\sqrt{x} - 1)}
\\ &= \dfrac{\sqrt{x} + 2}{\sqrt{x} - 1} \end{array}$
$\textbf{2}\big/$
$\begin{array}{l} \textbf{P} &= \dfrac{\sqrt{x} + 2}{\sqrt{x} - 1}
\\&= \dfrac{\sqrt{x} - 1 + 3}{\sqrt{x} - 1}
\\&= 1 + \dfrac{3}{\sqrt{x} - 1}\end{array}$
$\textbf{P} = 1 + \dfrac{3}{\sqrt{x} - 1} > 1$
$\dfrac{3}{\sqrt{x} -1 } > 0$
$\sqrt{x} -1 > 0$
$\sqrt{x} > 1$
$x > 1$
Vậy với $x >1$ và $x \ne 4$ thì $\textbf{P} > 1$
$\textbf{3}\big/$
Thay $x = \dfrac{1}{4}$ vào $\textbf{P} = 1 + \dfrac{3}{\sqrt{x} - 1}$, ta được:
$\textbf{P} = 1 + \dfrac{3}{\sqrt{\frac{1}{4}} - 1} = 1 + \dfrac{3}{-\frac{1}{2}} = -5$
Vậy khi $x = \dfrac{1}{4}$ thì $\textbf{P} = -5$
Hãy giúp mọi người biết câu trả lời này thế nào?

Bảng tin