

Hãy luôn nhớ cảm ơn và vote 5*
nếu câu trả lời hữu ích nhé!
Xin lỗi làm biếng ghi gọp quá tus nha!
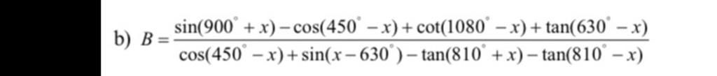
Ta có:
Tử thức:
$\sin(900^\circ + x) = \sin(2 \cdot 360^\circ + 180^\circ + x) = \sin(180^\circ + x) = -\sin x$
$\cos(450^\circ - x) = \cos(360^\circ + 90^\circ - x) = \cos(90^\circ - x) = \sin x$
$\cot(1080^\circ - x) = \cot(3 \cdot 360^\circ - x) = \cot(-x) = -\cot x$
$\tan(630^\circ - x) = \tan(360^\circ + 270^\circ - x) = \tan(270^\circ - x) = \cot x$
Tử thức
$= -\sin x - \sin x - \cot x + \cot x = -2\sin x$
*
Mẫu thức:
$\cos(450^\circ - x) = \sin x$ (trên tử đã có)
$\sin(x - 630^\circ) = \sin(x - 2 \cdot 360^\circ + 90^\circ) = \sin(x + 90^\circ) = \cos x$
$\tan(810^\circ + x) = \tan(2 \cdot 360^\circ + 90^\circ + x) = \tan(90^\circ + x) = -\cot x$
$\tan(810^\circ - x) = \tan(2 \cdot 360^\circ + 90^\circ - x) = \tan(90^\circ - x) = \cot x$
Mẫu thức
$= \sin x + \cos x - (-\cot x) - \cot x = \sin x + \cos x + \cot x - \cot x$
$= \sin x + \cos x$
`=>`
Vậy:
$B = \dfrac{-2\sin x}{\sin x + \cos x}$
Hãy giúp mọi người biết câu trả lời này thế nào?

`B=(sin(900^@+x)-cos(450^@-x)+cot (1080^@-x)+tan(630^@-x))/(cos(450^@-x)+sin(x-630^@)-tan(810^@+x)-tan(810^@-x))`
`=(sin(360^@.2 +180^@+x)-cos(360^@+90^@-x) +cot(360^@.3 -x) +tan(360^@+180^@+90^@-x))/(cos(360^@+90^@-x)+sin(x-360^@-180^@-90^@)-tan(360^@.2+90^@+x)-tan(360^@.2+90^@-x))`
`=(sin(180^@+x)-cos(90^@-x)+cot(-x)+tan(180^@+90^@-x))/(cos(90^@-x)+sin(x-180^@-90^@)-tan(90^@+x)-tan(90^@-x))`
`=(-sinx -sinx -cotx +tan(90^@-x) ) /(sinx -sin(x-90^@) -(-cotx) -cotx)`
`=(-2sinx-cotx+cotx)/(sinx-(-cosx))`
`=(-2sinx)/(sinx+cosx)`
`=-2/(1+cotx)`
Hãy giúp mọi người biết câu trả lời này thế nào?

Bảng tin