

Hãy luôn nhớ cảm ơn và vote 5*
nếu câu trả lời hữu ích nhé!
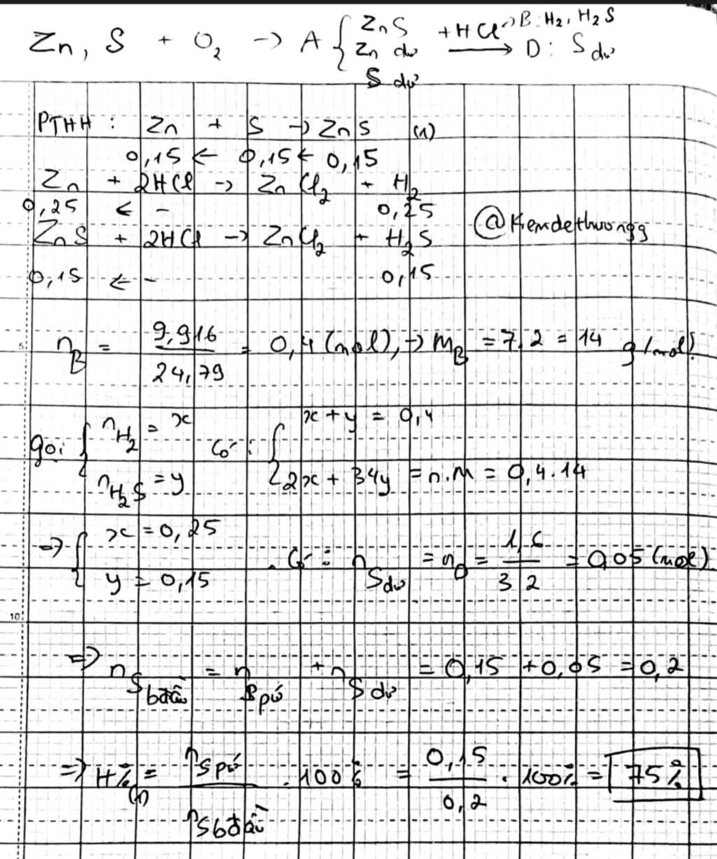
$Zn + S \xrightarrow{t^o} ZnS$
`Zn + 2HCl -> ZnCl_2 + H_2`
`ZnS + 2HCl -> ZnCl_2 + H_2S`
`M_B = 7.2 = 14 (g//mol)`
`n_B = (9,916)/(24,79) = 0,4 (mol)`
Áp dụng sơ đồ đường chéo:
`(n_{H_2S})/(n_{H_2}) = (14-2)/(34-14) = 3/5`
`n_{H_2S} = 3/(3 + 5) . 0,4 = 0,15 (mol); n_{H_2} = 0,4 - 0,15 = 0,25 (mol)`
`n_{S(dư)} = (1,6)/(32) = 0,05 (mol)`
Theo PT:
`n_{ZnS} = n_{H_2S} = 0,15 (mol)`
`n_{Zn(dư)} = n_{H_2} = 0,25 (mol)`
`n_{Zn(bđ)} = n_{Zn} + n_{ZnS} =0,4 (mol)`
`n_{S(bđ)} = n_{ZnS} + n_S = 0,2 (mol)`
So sánh: `0,4 > 0,2 =>` Hiệu suất tính theo `S`
`=> H = (0,15)/(0,2) .100\% = 75\%`
Hãy giúp mọi người biết câu trả lời này thế nào?
Bảng tin
846
13786
419
:D