

Hãy luôn nhớ cảm ơn và vote 5*
nếu câu trả lời hữu ích nhé!
Đáp án:
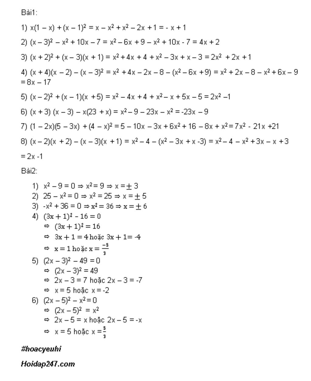
Bài 1:
1, x(1-x)+$(x-1)^{2}$
=x-$x^{2}$ +$x^{2}$ -2x+1
=1-x
2, $(x-3)^{2}$- $x^{2}$ +10x-7
=$x^{2}$-6x+9- $x^{2}$ +10x-7
=4x+2
3,$(x+2)^{2}$ -(x-3)(x+1)
=$x^{2}$ +4x+4-($x^{2}$ -3x+x-3)
=$x^{2}$ +4x+4-$x^{2}$ +3x-x+3
=6x+7
4,(x+4)(x-2)-$x^{2}$ -$(x-3)^{2}$
=$x^{2}$ +4x-2x-8-($x^{2}$ -6x+9)
=$x^{2}$+4x-2x-8- $x^{2}$ +6x-9
=8x-17
5,$(x-2)^{2}$ +(x-1)(x+5
)=$x^{2}$-4x+4+$x^{2}$-x+5x-5
=2$x^{2}$-1
6,(x+3)(x-3)-x(23+x)
=$x^{2}$-9-(23x+$x^{2}$ )
=$x^{2}$-9-23x- $x^{2}$
=-23x-9
7, (1-2x)(5-3x)+$(4-x)^{2}$
=5-10x-3x+$6x^{2}$+16-8x+ $x^{2}$
=$7x^{2}$ -21x+21
8,(x-2)(x+2)-(x-3)(x+1)
=$x^{2}$-4-($x^{2}$ -3x+x-3)
=$x^{2}$-4-$x^{2}$ +3x-x+3
=2x-1
Bài 2:
1,$x^{2}$ -9=0
(x-3)(x+3)=0
\(\left[ \begin{array}{l}x-3=0\\x+3=0\end{array} \right.\)
\(\left[ \begin{array}{l}x=3\\x=-3\end{array} \right.\)
2, 25-$x^{2}$ =0
(5-x)(5+x)=0
\(\left[ \begin{array}{l}5-x=0\\5+x=0\end{array} \right.\)
\(\left[ \begin{array}{l}x=5\\x=-5\end{array} \right.\)
3, -$x^{2}$ +36=0
(6-x)(6+x)=0
\(\left[ \begin{array}{l}6-x=0\\6+x=0\end{array} \right.\)
\(\left[ \begin{array}{l}x=6\\x=-6\end{array} \right.\)
4 $(3x+1)^{2}$ -16=0
(3x+1-4)(3x+1+4)=0
\(\left[ \begin{array}{l}3x-3=0\\3x+5=0\end{array} \right.\)
\(\left[ \begin{array}{l}x=1\\x=-\frac{5}{3}\end{array} \right.\)
5, $(2x-3)^{2}$ -49=0
(2x-3-7)(2x-3+7)=0
\(\left[ \begin{array}{l}2x-10=0\\2x+4=0\end{array} \right.\)
\(\left[ \begin{array}{l}x=5\\x=-2\end{array} \right.\)
6, $(2x-5)^{2}$ -$x^{2}$ =0
(2x-5-x)(2x-5+x)=0
\(\left[ \begin{array}{l}x-5=0\\3x-5=0\end{array} \right.\)
\(\left[ \begin{array}{l}x=5\\x=\frac{5}{3} \end{array} \right.\)
Hãy giúp mọi người biết câu trả lời này thế nào?

Bảng tin