

Hãy luôn nhớ cảm ơn và vote 5*
nếu câu trả lời hữu ích nhé!
Đáp án:
Giải thích các bước giải:
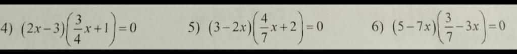
`4)`
` ( 2x - 3 ) ( 3/4x + 1 ) = 0 `
` 2x - 3 = 0` hoặc `3/4x + 1 = 0`
` 2x = 3 ` hoặc `3/4x = - 1 `
` x = 3/2 ` hoặc `x = - 4/3`
Vậy `x = 3/2` hoặc `x = - 4/3`
``
`5)`
` ( 3 - 2x ) ( 4/7x + 2 ) = 0 `
` 3 - 2x = 0` hoặc `4/7x + 2 = 0`
` 2x = 3` hoặc `4/7x = - 2 `
` x = 3/2 ` hoặc `- 7/2`
Vậy `x in { 3/2 ; - 7/2 } `
``
`6)`
` ( 5 - 7x ) ( 3/7 - 3x ) = 0 `
` 5 - 7x = 0` hoặc `3/7 - 3x = 0`
` 7x = 5` hoặc `3x = 3/7`
` x = 5/7` hoặc `x = 1/7`
Vậy `x in { 5/7 ; 1/7 }`
Hãy giúp mọi người biết câu trả lời này thế nào?

Đáp án:+Giải thích các bước giải:
`4) (2x - 3)(3/4x + 1 ) = 0 `
\(\left[ \begin{array}{l}2x - 3 =0\\\dfrac{3}{4}x + 1 = 0\end{array} \right.\)
\(\left[ \begin{array}{l}x=\dfrac{3}{2}\\x=\dfrac{-4}{3}\end{array} \right.\)
Vậy `x ∈ { 3/2 ; -4/3} `
`5) (3 - 2x )(4/7x + 2 ) = 0 `
\(\left[ \begin{array}{l}3-2x=0\\\dfrac{4}{7}x +2 = 0 \end{array} \right.\)
\(\left[ \begin{array}{l}x=\dfrac{3}{2}\\x=\dfrac{-7}{2}\end{array} \right.\)
Vậy `x ∈ { 3/2 ; -7/2}`
`6) ( 5 - 7x)(3/7 - 3x) = 0`
\(\left[ \begin{array}{l}5-7x=0\\\dfrac{3}{7}-3x = 0 \end{array} \right.\)
\(\left[ \begin{array}{l}x=\dfrac{5}{7}\\x=\dfrac{1}{7}\end{array} \right.\)
Vậy` x ∈ { 5/7 ; 1/7} `
`@Kwan`
Hãy giúp mọi người biết câu trả lời này thế nào?

Bảng tin