

Hãy luôn nhớ cảm ơn và vote 5*
nếu câu trả lời hữu ích nhé!
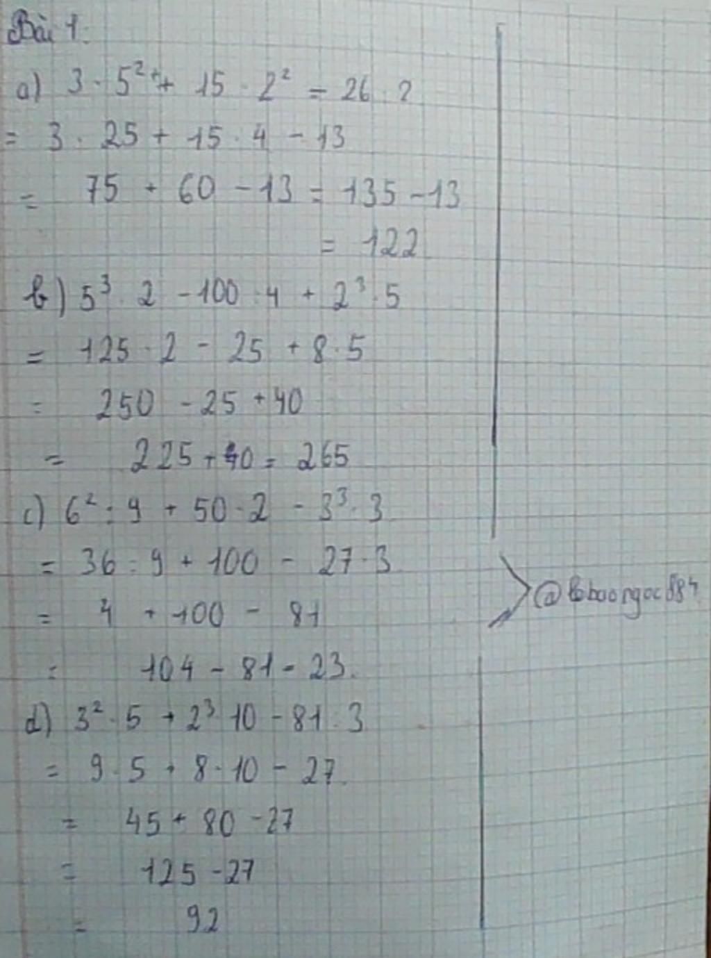
`a,` `3*5^2 + 15*2^2 - 26:2`
`= 3*25 + 15*4 - 26:2`
`= 75 + 60 - 13`
`= 122`
`b,` `5^3.2 - 100:4 + 2^3*5`
`= 125.2 - 100:4 + 8*5`
`= 250 - 25 + 40`
`= 265`
`c,` `6^2:9 + 50*2 - 3^3*3`
`= 36:9 + 50*2 - 27*3`
`= 4 + 100 - 81`
`= 23`
`d,` `3^2*5 + 2^3*10 - 81:3`
`= 9.5 + 8.10 - 81:3`
`= 45 + 80 - 27`
`= 98`
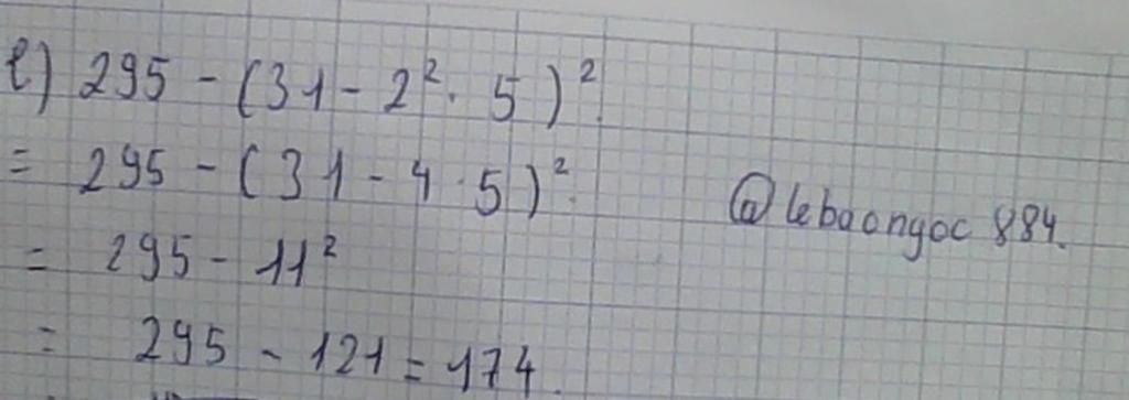
`e,``5^13 : 5^10 - 25*2^2`
`= 5^3 - 25.4` `= 125 - 100`
`= 25`
`f,``20:2^2 + 5^9 : 5^8`
`= 20:4 + 5` `= 5 + 5`
`= 10`
`g,``100:5^2 + 7*3^2`
`= 100:25 + 7*9`
`= 4 + 63`
`= 67`
`h,``84:4 + 3^9 : 3^7 + 5^0`
`= 21 + 3^2 + 1`
`= 21 + 9 + 1`
`= 31`
`i,` `29 - [16 + 3*(51 - 49)]`
`= 29 - [16 + 3*2]`
`= 29 - [16 + 6]`
`= 29 - 22`
`= 7`
`k,` `5.2^2 + 98:7^2`
`= 5*4 + 98:49`
`= 20 + 2`
`= 22`
`l,` `3^11 : 3^9 - 147 : 7^2`
`= 3^2 - 147:49`
`= 9 - 3`
`= 6`
`m,``7^18 : 7^16 + 2^2 * 3^3`
`= 7^(18-16) + 2^2 * 3^3`
`= 7^2 + 4 * 27`
`= 49 + 108`
`= 157`
Hãy giúp mọi người biết câu trả lời này thế nào?
![]()
Bảng tin