

Hãy luôn nhớ cảm ơn và vote 5*
nếu câu trả lời hữu ích nhé!
Đáp án`+`Giải thích các bước giải:
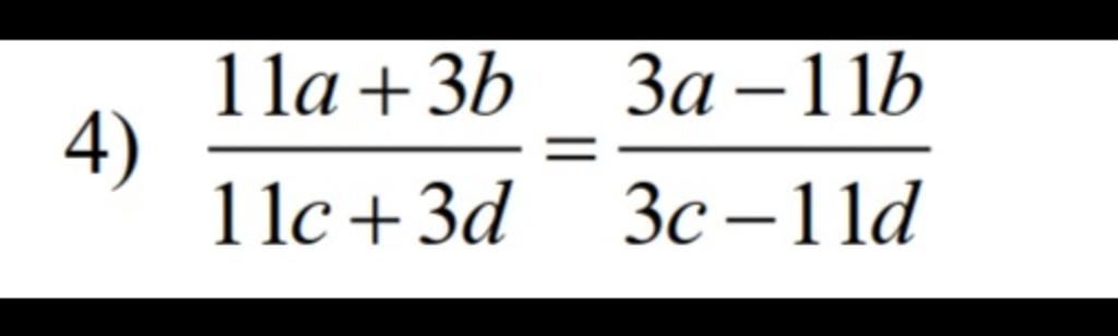
`4,` Ta có: `a/b =c/d`
`=> a/c = b/d`
Đặt `a/c = b/d = k`
`=> {(a = ck),(b = dk):}`
Ta có: `(11a+3b)/(11c + 3d)= (11ck + 3dk)/(11c + 3d) = (k(11c + 3d))/(11c + 3d) = k`
`(3a -11b)/(3c - 11d) = (3ck - 11dk)/(3c - 11d)= (k(3c - 11d))/(3c - 11d) = k`
`=> (11a + 3b)/(11c + 3d) = (3a - 11b)/(3c - 11d) (=k)` (đpcm)
`***`sharksosad
Hãy giúp mọi người biết câu trả lời này thế nào?

Đáp án+Giải thích các bước giải:
`\text{Đặt` `a/b = c/d = k`
`=> a = bk`
`=> c = dk`
`\text{Xét vế trái:`
`(11a + 3b) / (11c + 3d)`
`\text{Thay a = bk và c = dk vào; ta được:`
`(11bk + 3b) / (11dk + 3d)`
`= (b(11k + 3)) / (d(11k + 3))`
`= b/d`
`\text{Xét vế phải:`
`(3a - 11b) / (3c - 11d)`
`\text{Thay a = bk và c = dk vào; ta được:`
`(3bk - 11b) / (3dk - 11d)`
`= (b(3k - 11)) / (d(3k - 11))`
`= b/d`
`\text{Vì cả hai vế đều bằng}` `b/d`
`\text{nên` `(11a + 3b) / (11c + 3d) = (3a - 11b) / (3c - 11d)`
`=>` `Đpcm.`
$#Jack148k11$
Hãy giúp mọi người biết câu trả lời này thế nào?

Bảng tin