

Hãy luôn nhớ cảm ơn và vote 5*
nếu câu trả lời hữu ích nhé!
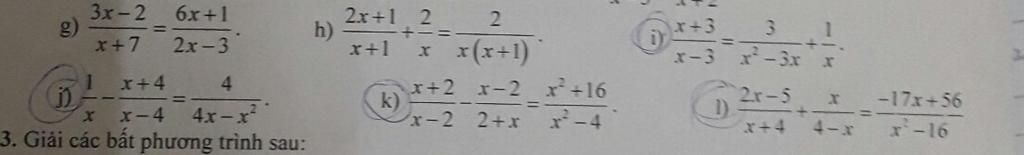
`i)(x+3)/(x-3)=3/(x^2-3x)+1/x` (ĐK: `x ne4; x ne 0`)
`=> (x(x+3))/(x(x-3))=3/(x(x-3))+(x-3)/(x(x-3))`
`=>3/(x(x-3))+(x-3)/(x(x-3))-(x(x+3))/(x(x-3))=0`
`=>(3+x-3-x^2-3x)/(x(x-3))=0`
`=>(-x^2-2x)/(x(x-3))=0`
`=>-x(x+2)=0`
`=> -x=0` hoặc `x+2=0`
`=> x=0` (loại) hoặc `x=-2 (TM)`
Vậy `x =-2`
`j) 1/x-(x+4)/(x-4)=4/(4x-x^2)` (ĐK: `x ne3; x ne 0`)
`=>(x-4)/(x(x-4))-(x(x+4))/(x(x-4))=-4/(x^2-4x)`
`=>(x-4)/(x(x-4))-(x(x+4))/(x(x-4))+4/(x(x-4))=0`
`=>(x-4-x^2-4x+4)/(x(x-4))=0`
`=>(-x^2-3x)/(x(x-4))=0`
`=>-x(x+3)=0`
`=> -x=0` hoặc `x+3=0`
`=> x=0` (loại) hoặc `x=-3 (TM)`
Vậy `x=-3`
`k) (x+2)/(x-2)-(x-2)/(2+x)=(x^2+16)/(x^2-4)` (ĐK: `x ne+-2`)
`=>(x+2)^2/((x+2)(x-2))-(x-2)^2/((x+2)(x-2))=(x^2+16)/((x+2)(x-2))`
`=>(x+2)^2/((x+2)(x-2))-(x-2)^2/((x+2)(x-2))-(x^2+16)/((x+2)(x-2))=0`
`=>(x^2+4x+4-x^2+4x-4-x^2-16)/((x+2)(x-2))=0`
`=>(-x^2+8x-16)/((x+2)(x-2))=0`
`=>-x^2+8x-16=0`
`=>-(x-4)^2=0`
`=>(x-4)^2=0`
`=>x-4=0=>x=4 (TM)`
Vậy `x=4`
`l) (2x-5)/(x+4)+x/(4-x)=(-17x+56)/(x^2-16)` (ĐK: `x ne+-4`)
`=>((2x-5)(x-4))/((x-4)(x+4))-(x(x+4))/((x-4)(x+4))=(-17x+56)/((x-4)(x+4))`
`=>((2x-5)(x-4))/((x-4)(x+4))-(x(x+4))/((x-4)(x+4))-(-17x+56)/((x-4)(x+4))=0`
`=>(2x^2-13x+20-x^2-4x+17x-56)/((x-4)(x+4))=0`
`=>(x^2-36)/((x-4)(x+4))=0`
`=>x^2-36=0`
`=>x^2=36`
`=> x=6 (TM)` hoặc `x=-6 (TM)`
Vậy `x in{6;-6}`
Hãy giúp mọi người biết câu trả lời này thế nào?
`i)`
`(x+3)/(x-3)=3/(x^2-3x)+1/x (đk:x\ne3;x\ne0)`
`x(x+3)=3+1(x-3)`
`x^2+3x=3+x-3`
`x^2+3x=x`
`x^2+3x-x=0`
`x^2+2x=0`
`x(x+2)=0`
`x=0` hoặc `x+2=0`
`x=0 (KTM)` hoặc `x=-2 (TM)`
Vậy `x=-2`
`j)`
`1/x-(x+4)/(x-4)=4/(4x-x^2) (đk:x\ne0;x\ne4)`
`1/x+(x+4)/(4-x)=4/(x(4-x))`
`1(4-x)+x(x+4)=4`
`4-x+x^2+4x=4`
`x^2+3x=0`
`x(x+3)=0`
`x=0` hoặc `x+3=0`
`x=0 (KTM)` hoặc `x=-3 (TM)`
Vậy `x=-3`
`k)`
`(x+2)/(x-2)-(x-2)/(2+x)=(x^2+16)/(x^2-4) (đk:x\ne2;x\ne-2)`
`(x+2)/(x-2)-(x-2)/(2+x)=(x^2+16)/((x-2)(x+2))`
`(x+2)^2-(x-2)^2=x^2+16`
`(x+2-x+2)(x+2+x-2)=x^2+16`
`4·2x=x^2+16`
`x^2+16-8x=0`
`(x-4)^2=0`
`x-4=0`
`x=4 (TM)`
Vậy `x=4`
`l)`
`(2x-5)/(x+4)+x/(4-x)=(-17x+56)/(x^2-16) (đk:x\ne4;x\ne-4)`
`(2x-5)/(x+4)-x/(x-4)=(-17x+56)/((x-4)(x+4))`
`(2x-5)(x-4)-x(x+4)=-17x+56`
`2x^2-8x-5x+20-x^2-4x=-17x+56`
`x^2-17x+20=-17x+56`
`x^2-17x+20+17x-56=0`
`x^2-36=0`
`x^2=36`
`x=6 (TM)` hoặc `x=-6 (TM)`
Vậy `x in {6;-6}`
Hãy giúp mọi người biết câu trả lời này thế nào?
ban cum ngu di nhe
ok ban, chuc b ngu mo ve bella
cam on, chuc b ngu mo ve auro
lát t cáp gửi nhóm giờ nè😏😏
cap di ban, thoai mai ;)
t chụp t gửi liêm
m chap ca hoi nha liem b nhe
rieu kh
Bảng tin
10
1120
8
ở câu i thì x khác 0 mà sao t/m đc