Vui lòng chỉ chọn một câu hỏi
Hoidap247.com Nhanh chóng, chính xác
+
Danh mục mới
0
171
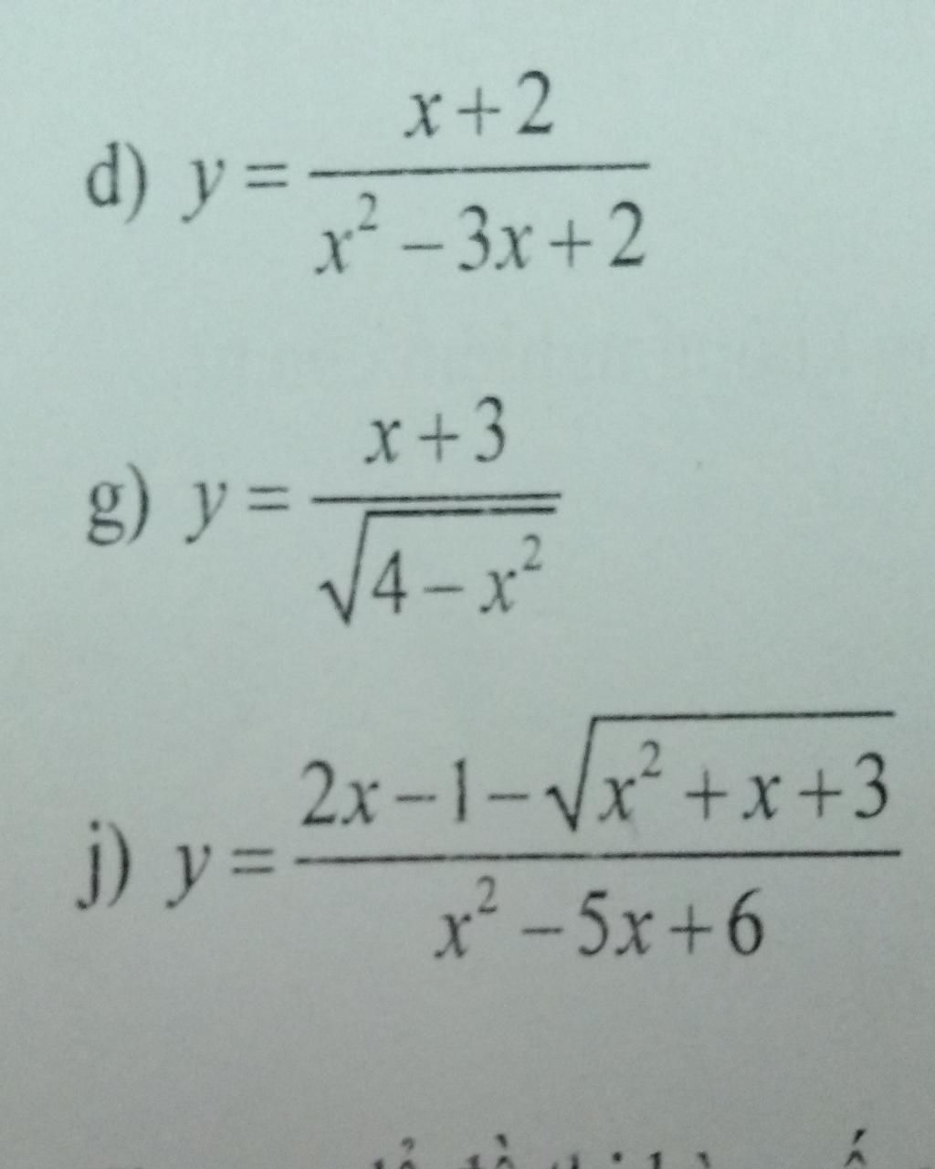
Đề: Tìm các tiệm cận (đứng, ngang, xiên) của các đồ thị hàm số sau (nếu có):
Làm câu g với j giúp e
Còn câu i nữa: i) y = |x|/(sqrt(x ^ 2 - 1))
Bảng tin
Gửi yêu cầu Hủy