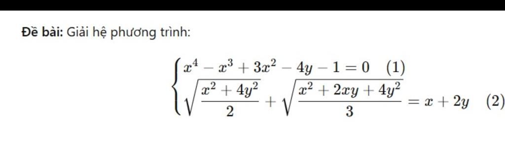
Vui lòng chỉ chọn một câu hỏi
Hoidap247.com Nhanh chóng, chính xác
+
Danh mục mới
32
-242
19
Cứu tôi với tôi hết điểm rồi
Xem thêm:
Bảng tin
Gửi yêu cầu Hủy