

rút gọn bài này cho mình với và tìm x sao cho A nhận giá trị là một số nguyên dương
Hãy luôn nhớ cảm ơn và vote 5*
nếu câu trả lời hữu ích nhé!
Đáp án`+`Giải thích các bước giải:
Với `x > 0;x \ne 4` thì
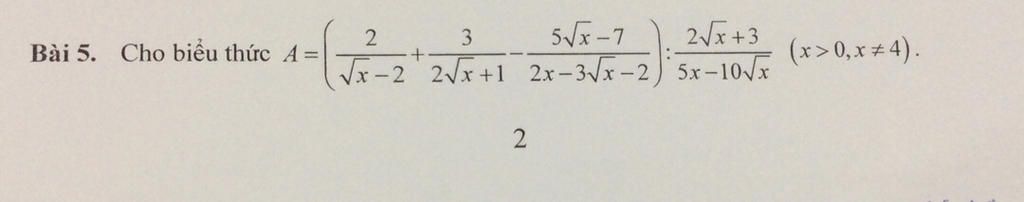
Ta có: `A = (2/(\sqrt{x} - 2) + 3/(2\sqrt{x} + 1) - (5\sqrt{x} - 7)/(2x- 3\sqrt{x} - 2)) : (2\sqrt{x} + 3)/(5x - 10\sqrt{x})`
`= (2(2\sqrt{x} + 1) +3(\sqrt{x} - 2) - 5\sqrt{x} + 7)/((\sqrt{x} - 2)(2\sqrt{x} + 1)) . (5\sqrt{x} (\sqrt{x} - 2))/(2\sqrt{x} + 3)`
`= (4\sqrt{x} + 2 + 3\sqrt{x} -6 - 5\sqrt{x} + 7)/(2\sqrt{x} + 1) . (5\sqrt{x})/(2\sqrt{x} + 3)`
`= (2\sqrt{x} + 3)/(2\sqrt{x} + 1) . (5\sqrt{x})/(2\sqrt{x} + 3)`
`= (5\sqrt{x})/(2\sqrt{x}+ 1)`
`= (5\sqrt{x}+ 5/2 - 5/2)/(2\sqrt{x} + 1)`
`= (5/2 (2\sqrt{x} + 1) - 5/2)/(2\sqrt{x} + 1)`
`= 5/2 - 5/(4\sqrt{x} + 2) < 5/2`
`=> A < 5/2 (1)`
Vì `x > 0;x \ne 4 =>5\sqrt{x}; 2\sqrt{x} + 1 > 0`
`=> A > 0 (2)`
Từ `(1)` và `(2) => 0 < A < 5/2`
Mà `A \in ZZ^(+)`
`=> A \in {1;2}`
`@ A = 1`
`=> (5\sqrt{x})/(2\sqrt{x} + 1) = 1`
`=> 5\sqrt{x} =2\sqrt{x} + 1`
`<=> 3\sqrt{x} = 1`
`<=> x = 1/9 (\text{tm})`
`@A = 2`
`=> (5\sqrt{x})/(2\sqrt{x} + 1) =2 `
`=> 5\sqrt{x} = 4\sqrt{x} + 2`
`<=> \sqrt{x} = 2`
`<=> x = 4 (\text{loại})`
Vậy `x= 1/9` thì `A` là một số nguyên dương
`***`sharksosad
Hãy giúp mọi người biết câu trả lời này thế nào?
![]()
Bảng tin