Vui lòng chỉ chọn một câu hỏi
Hoidap247.com Nhanh chóng, chính xác
+
Danh mục mới
0
287
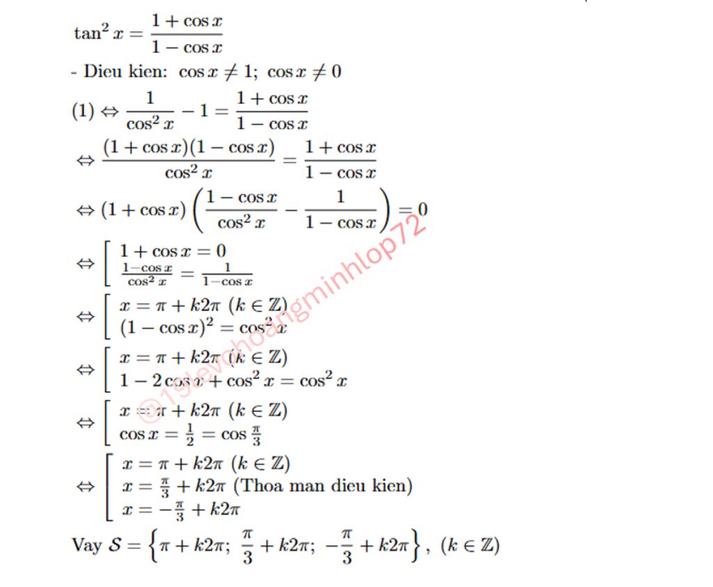
Tan^2x=1+cosx/1-cosx
Hãy luôn nhớ cảm ơn và vote 5* nếu câu trả lời hữu ích nhé!
244
3996
79
giải thích sử dụng công thức nghiệm và hằng đẳng thức: `1+tan^2x=1/(cos^2x)`
Hãy giúp mọi người biết câu trả lời này thế nào?
Bảng tin
Gửi yêu cầu Hủy