Vui lòng chỉ chọn một câu hỏi
Hoidap247.com Nhanh chóng, chính xác
+
Danh mục mới
25
828
20
sooooooooooooooooossssssssssssssssssssssssss
Hãy luôn nhớ cảm ơn và vote 5* nếu câu trả lời hữu ích nhé!
319
308
240
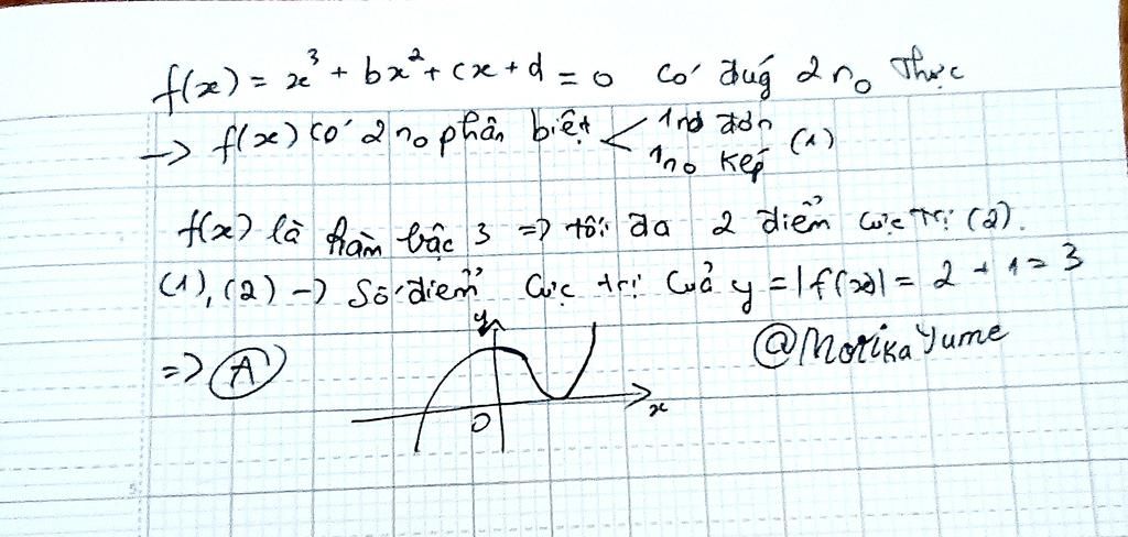
Đáp án:
Giải thích các bước giải:
Hãy giúp mọi người biết câu trả lời này thế nào?
Bảng tin
Gửi yêu cầu Hủy