Vui lòng chỉ chọn một câu hỏi
Hoidap247.com Nhanh chóng, chính xác
+
Danh mục mới
6
66
1
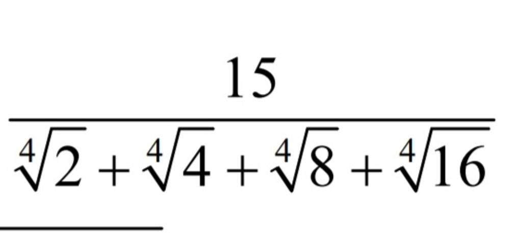
Trục căn thức ở mẫu và rút gọn
Xem thêm:
Bảng tin
Gửi yêu cầu Hủy