

Hãy luôn nhớ cảm ơn và vote 5*
nếu câu trả lời hữu ích nhé!
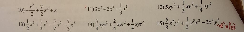
`10)`
`-(x^2)/2+7/2x^2+x`
`=-1/2x^2+7/2x^2+x`
`=(-1/2+7/2)x^2+x`
`=3x^2+x`
`11)`
`2x^3+3x^3-1/3x^3`
`=(2+3-1/3)x^3`
`=14/3x^3`
`12)`
`5xy^2+1/2xy^2+1/4xy^2`
`=(5+1/2+1/4)xy^2`
`=23/4xy^2`
`13)`
`1/2x^2+1/3x^3-5/2x^2-7/3x^3`
`=(1/2x^2-5/2x^2)+(1/3x^3-7/3x^3)`
`=-2x^2-2x^3`
`14)`
`3/4xyz^2+2/4xyz^2+1/4xyz^2`
`=(3/4+2/4+1/4)xyz^2`
`=3/2xyz^2`
`15)`
`5/8x^2y^3+1/2y^3x^2-3x^2y^3`
`=5/8x^2y^3+1/2x^2y^3-3x^2y^3`
`=(5/8+1/2-3)x^2y^3`
`=-15/8x^2y^3`
Hãy giúp mọi người biết câu trả lời này thế nào?
Đáp án+Giải thích các bước giải:
`10)\frac{x^{2}}{2}+7/2x^{2}+x`
`=(1/2x^{2}+7/2x^{2})+x`
`=8/2x^{2}+x`
`=4x^{2}+x`
`11)2x^{3}+3x^{3}-1/3x^{3}`
`=5x^{3}-1/3x^{3}`
`=15/3x^{3}-1/3x^{3}`
`=14/3x^{3}`
`12)5xy^{2}+1/2xy^{2}+1/4xy^{2}`
`=20/4xy^{2}+2/4xy^{2}+1/4xy^{2}`
`=23/4xy^{2}`
`13)1/2x^{2}+1/3x^{3}-5/2x^{2}-7/3x^{3}`
`=(1/2x^{2}-5/2x^{2})+(1/3x^{3}-7/3x^{3})`
`=(-4/2x^{2})+(-6/3x^{3})`
`=-2x^{2}-2x^{3}`
`14)3/4xyz^{2}+2/4xyz^{2}+1/4xyz^{2}`
`=6/4xyz^{2}`
`=3/2xyz^{2}`
`15)5/8x^{2}y^{3}+1/2y^{3}x^{2}-3x^{2}y^{3}`
`=5/8x^{2}y^{3}+1/2x^{2}y^{3}-3x^{2}y^{3}`
`=5/8x^{2}y^{3}+4/8x^{2}y^{3}-24/8x^{2}y^{2}`
`=-15/8x^{2}y^{3}`
Hãy giúp mọi người biết câu trả lời này thế nào?
Bảng tin