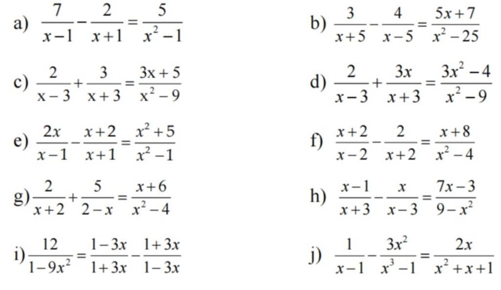
a)
7 2
x-1
-
x+1
=
5
2
x²-1
b)
3 4 5x+7
=
x+5 x-5
x²-25
2
3
3x+5
2
3x
+
=
d)
3x²-4
+
=
X- 3
2x
x+3x²-9
x+2x²+5
x-3
x+3
x²-9
e)
==
x-1
f)
x+2 2
x+8
=
x+1 x²-1
x-2
2
5
x+6
g) +
x+2 2-x
==
x²-4
h)
x+2x²-4
x-1 x 7x-3
-
x+3
12
1-3x
1+3x
1
=
x-3
9-x²
2x
==
1-9x² 1+3x
j)
-
1-3x
x-1
3x²
=
x³-1 ...
Xem thêm