

Hãy luôn nhớ cảm ơn và vote 5*
nếu câu trả lời hữu ích nhé!
Đáp án:
Giải thích các bước giải:
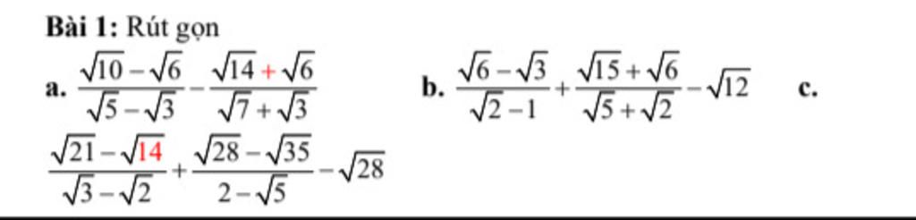
`a.`
`(sqrt10-sqrt6)/(sqrt5-sqrt3)-(sqrt14+sqrt6)/(sqrt7+sqrt3)`
`=(sqrt2 . sqrt5-sqrt2. sqrt3)/(sqrt5-sqrt3)-(sqrt2 . sqrt7+sqrt2 . sqrt3)/(sqrt7+sqrt3)`
`=(sqrt2 (sqrt5-sqrt3))/(sqrt5-sqrt3)-(sqrt2(sqrt7+sqrt3))/(sqrt7+sqrt3)`
`=sqrt2-sqrt2`
`=0.`
`b.`
`(sqrt6-sqrt3)/(sqrt2-1)+(sqrt15+sqrt6)/(sqrt5+sqrt2)-sqrt12`
`=(sqrt2 . sqrt3-sqrt3)/(sqrt2-1)+(sqrt3 . sqrt5+sqrt2 .sqrt3)/(sqrt5+sqrt2)-sqrt12`
`=(sqrt3(sqrt2-1))/(sqrt2-1)+(sqrt3 (sqrt5+sqrt2))/(sqrt5+sqrt2)-sqrt12`
`=sqrt3+sqrt3-sqrt12`
`=2sqrt3-2 . sqrt3`
`=0.`
`c.`
`(sqrt21-sqrt14)/(sqrt3-sqrt2)+(sqrt28-sqrt35)/(2-sqrt5)-sqrt28`
`=(sqrt3 . sqrt7-sqrt2 . sqrt7)/(sqrt3-sqrt2)+(2sqrt7-sqrt5 . sqrt7)/(2-sqrt5)-sqrt28`
`=(sqrt7 (sqrt3-sqrt2))/(sqrt3-sqrt2)+(sqrt7(2-sqrt5))/(2-sqrt5)-sqrt28`
`=sqrt7+sqrt7-sqrt28`
`=2sqrt7-2sqrt7`
`=0.`
Hãy giúp mọi người biết câu trả lời này thế nào?
![]()
Đáp án:
`a)0`
`b)0`
`c)0`
Giải thích các bước giải:
`a)\frac{\sqrt{10}-\sqrt{6}}{\sqrt{5}-\sqrt{3}}-\frac{\sqrt{14}+\sqrt{6}}{\sqrt{7}+\sqrt{3}}`
`=\frac{\sqrt{2}.\sqrt{5}-\sqrt{2}.\sqrt{3}}{\sqrt[5}-\sqrt{3}}-\frac{\sqrt{2}.\sqrt{7}+\sqrt{2}.\sqrt{3}}{\sqrt{7}+\sqrt{3}}`
`=\frac{\sqrt{2}.(\sqrt{5}-\sqrt{3})}{\sqrt{5}-\sqrt{3}}-\frac{\sqrt{2}.(\sqrt{7}+\sqrt{3})}{\sqrt{7}+\sqrt{3}}`
`=\sqrt{2}-\sqrt{2}`
`=0`
`b)\frac{\sqrt{6}-\sqrt{3}}{\sqrt{2}-1}+\frac{\sqrt{15}+\sqrt{6}}{\sqrt{5}+\sqrt{2}}-\sqrt{12}`
`=\frac{\sqrt{3}.\sqrt{2}-\sqrt{3}.1}{\sqrt{2}-1}+\frac{\sqrt{3}.\sqrt{5}+\sqrt{3}.\sqrt{2}}{\sqrt{5}+\sqrt{2}}-\sqrt{2^{2}.3}`
`=\frac{\sqrt{3}.(\sqrt{2}-1)}{\sqrt{2}-1}+\frac{\sqrt{3}.(\sqrt{5}+\sqrt{2})}{\sqrt{5}+\sqrt{2}}-2\sqrt{3}`
`=\sqrt{3}+\sqrt{3}-2\sqrt{3}`
`=0`
`c)\frac{\sqrt{21}-\sqrt{14}}{\sqrt{3}-\sqrt{2}}+\frac{\sqrt{28}-\sqrt{35}}{2-\sqrt{5}}-\sqrt{28}`
`=\frac{\sqrt{7}.\sqrt{3}-\sqrt{7}.\sqrt{2}}{\sqrt{3}-\sqrt{2}}+\frac{\sqrt{7}.\sqrt{4}-\sqrt{7}.\sqrt{5}}{2-\sqrt{5}}-\sqrt{2^{2}.7}`
`=\frac{\sqrt{7}.(\sqrt{3}-\sqrt{2})}{\sqrt{3}-\sqrt{2}}+\frac{\sqrt{7}.(2-\sqrt{5})}{2-\sqrt{5}}-2\sqrt{7}`
`=\sqrt{7}+\sqrt{7}-2\sqrt{7}`
`=0`
Hãy giúp mọi người biết câu trả lời này thế nào?
Bảng tin