Vui lòng chỉ chọn một câu hỏi
Hoidap247.com Nhanh chóng, chính xác
+
Danh mục mới
0
51
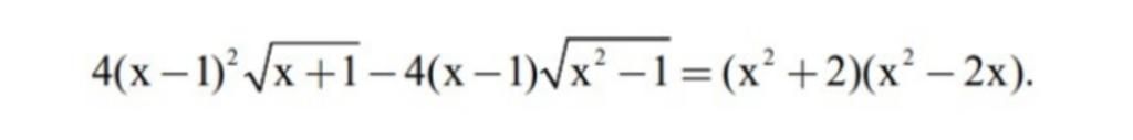
Đề là giải phương trình nha! Ai làm được mình lấy acc9 tặng chill 500 cho ạ!
````````````````````````
Xem thêm:
Bảng tin
Gửi yêu cầu Hủy