

Hãy luôn nhớ cảm ơn và vote 5*
nếu câu trả lời hữu ích nhé!
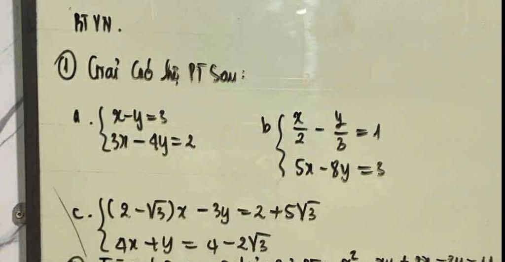
`a,`
$\begin{cases} x-y=3\\3x-4y=2 \end{cases}$
$\begin{cases} 3x-3y=9\\3x-4y=2 \end{cases}$
Trừ từng vế của 2 pt :
`y=7`
Thay `y=7` vào pt `x-y=3 :`
`x-7=3`
`x=10`
Vậy hpt có nghiệm `(10;7)`
`b,`
$\begin{cases} \dfrac{x}{2}-\dfrac{y}{3}=1\\5x-8y=3 \end{cases}$
$\begin{cases} \dfrac{1}{2}x-\dfrac{1}{3}y=1\\5x-8y=3 \end{cases}$
$\begin{cases} 5x-\dfrac{10}{3}y=10\\5x-8y=3 \end{cases}$
Trừ từng vế của 2 pt :
`14/3y = 7`
`y=3/2`
Thay `y=3/2` vào pt `1/2x-1/3y=1 :`
`1/2x-1/3*3/2=1`
`1/2x-1/2=1`
`1/2x = 3/2`
`x=3`
Vậy hpt có nghiệm `(3;3/2)`
`c,`
$\begin{cases} (2-\sqrt{3})x -3y =2+5\sqrt{3}\\4x+y=4-2\sqrt{3} \end{cases}$
$\begin{cases} (2-\sqrt{3})x -3y =2+5\sqrt{3}\\12x+3y=12-6\sqrt{3} \end{cases}$
Cộng từng vế cuẩ 2 pt :
`(14-\sqrt{3})x = 14-\sqrt{3}`
`x=1`
Thay `x=1` vào pt `4x+y=4-2\sqrt{3} :`
`4*1+y=4-2\sqrt{3}`
`4+y=4-2\sqrt{3}`
`y=-2\sqrt{3}`
Vậy hpt có nghiệm `(1;-2\sqrt{3})`
Hãy giúp mọi người biết câu trả lời này thế nào?
![]()
`@` Angelmare
Đáp án:
a) `{(x-y=3),(3x-4y=2):}`
`{(4x-4y=12),(3x-4y=2):}`
`{(x=10),(x-y=3):}`
`{(x=10),(y=7):}`
Vậy hpt có nghiệm `(10;7)`
b) `{(x/2-y/3=1),(5x-8y=3):}`
`{(x/2=(y+3)/3),(5x-8y=3):}`
`{(3x=2y+6),(5x-8y=3):}`
`{(3x-2y=6),(5x-8y=3):}`
`{(12x-8y=24),(5x-8y=3):}`
`{(7x=21),(3x-2y=6):}`
`{(x=3),(y=3/2):}`
Vậy hpt có nghiệm `(3;3/2)`
c) `{((2-\sqrt3)x-3y=2+5\sqrt3),(4x+y=4-2\sqrt3):}`
`{((2-\sqrt3)x-3y=2+5\sqrt3),(12x+3y=12-6\sqrt3):}`
`{((14-\sqrt3)x=14-\sqrt3),(4x+y=4-2\sqrt3):}`
`{(x=1),(y=-2\sqrt3):}`
Vậy hpt có nghiệm `(1;-2\sqrt3)`
Hãy giúp mọi người biết câu trả lời này thế nào?
![]()
Bảng tin