Vui lòng chỉ chọn một câu hỏi
Hoidap247.com Nhanh chóng, chính xác
+
Danh mục mới
5
380
3
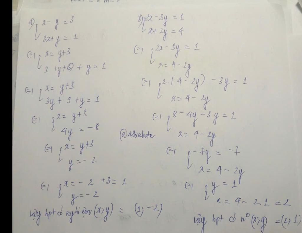
giải hệ các phương trình sau bằng phương pháp thế
Hãy luôn nhớ cảm ơn và vote 5* nếu câu trả lời hữu ích nhé!
6223
86750
2924
Đáp án:
Giải thích các bước giải:
Hãy giúp mọi người biết câu trả lời này thế nào?
Xem thêm:
Bảng tin
Gửi yêu cầu Hủy