

Hãy luôn nhớ cảm ơn và vote 5*
nếu câu trả lời hữu ích nhé!
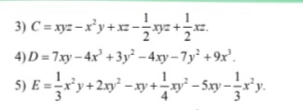
`3) C = xyz - x^2y + xz - 1/2 xyz + 1/2 xz`
`= (xyz - 1/2 xyz) - x^2 y + (xz +1/2 xz)`
`= 1/2 xyz - x^2y + 3/2 xz`
Bậc của hạng tử `1/2 xyz` là `1 + 1 + 1 = 3`
Bậc của hạng tử `-x^2y ` là `2 + 1 = 3`
Bậc của hạng tử `3/2 xz` là `1 + 1 = 2`
`=>` Bậc của đa thức `C` là `3`
``
`4) D = 7xy - 4x^3 + 3y^2 - 4xy - 7y^2 + 9x^3`
`= (7xy - 4xy) + (-4x^3 + 9x^3) + (3y^2 - 7y^2)`
`= 4xy + 5x^3 - 4y^2`
Bậc của hạng tử `4xy` là `1 + 1 = 2`
Bậc của hạng tử `5x^3` là `3`
Bậc của hạng tử `-4y^2` là `2`
`=>` Bậc của đa thức `D` là `3`
``
`5) E = 1/3 x^2y + 2xy^2 - xy + 1/3 xy^2 - 5xy - 1/3 x^2y`
`= (1/3 x^2y - 1/3 x^2y) + (2xy^2 + 1/4 xy^2) + (-xy - 5xy)`
`= 9/4 xy^2 - 6xy`
Bậc của hạng tử `9/4 xy^2` là `1 + 2 = 3`
Bậc của hạng tử `-6xy` là `1 + 1 = 2`
`=>` Bậc của đa thức `E` là `3`
Hãy giúp mọi người biết câu trả lời này thế nào?
Đáp án:
Giải thích các bước giải:
`3)`
` C = xyz - x^2y + xz - 1/2xyz + 1/2xz `
` C = ( xyz - 1/2xyz ) + ( xz + 1/2xz ) - x^2y `
` C = ( 1 - 1/2 )xyz + ( 1 + 1/2 )xz - x^2y `
` C = 1/2xyz + 3/2xz - x^2y `
`-` Bậc của hạng tử `1/2xyz` là : `1 + 1 + 1 =3`
`-` Bậc của hạng tử `3/2xz` là : `1 + 1 = 2`
`-` Bậc của hạng tử `- x^2y` là : `2 + 1 = 3`
`->` Bậc của đơn thức `C` là : `3`
`--------------------`
`4)`
` D = 7xy - 4x^3 + 3y^2 - 4xy - 7y^2 + 9x^3 `
` D = ( 7xy - 4xy ) + ( - 4x^3 + 9x^3 ) + ( 3y^2 - 7y^2 ) `
` D = ( 7 - 4 )xy + ( - 4 + 9 )x^3 + ( 3 - 7 )y^2 `
` D = 3xy + 5x^3 + ( - 4y^2 ) `
`-` Bậc của hạng tử `3xy` là : `1 + 1 = 2`
`-` Bậc của hạng tử `5x^3` là : `3 `
`-` Bậc của hạng tử `- 4y^2`là : `2`
`->` Bậc của đa thức `D` là : `3`
`--------------------`
`5)`
` E = 1/3x^2y + 2xy^2 - xy + 1/4xy^2 - 5xy - 1/3x^2y `
` E = ( 1/3x^2y - 1/3x^2y ) + ( 2xy^2 + 1/4xy^2 ) - ( xy + 5xy ) `
` E = ( 1/3 - 1/3 )x^2y + ( 2 + 1/4 )xy^2 - ( 1 + 5 )xy `
` E = 0 + 9/4xy^2 - 6xy `
` E = 9/4xy^2 - 6xy `
`-` Bậc của hạng tử `9/4xy^2` là : `1 + 2 = 3`
`-` Bậc của hạng tử `- 6xy` là : `1 + 1 = 2`
`->` Bậc của đa thức `E` là : `3`
Hãy giúp mọi người biết câu trả lời này thế nào?
Bảng tin