

nhanh = hn...................
Hãy luôn nhớ cảm ơn và vote 5*
nếu câu trả lời hữu ích nhé!
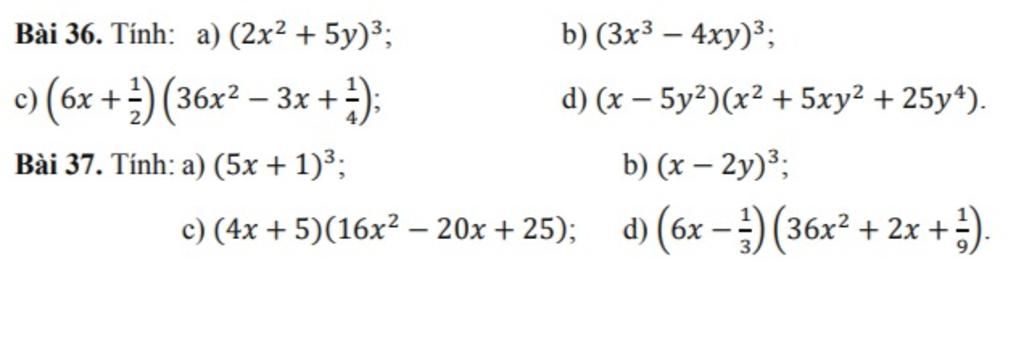
`-` Bài 36:
`+)` a.
`(2x^2+5y)^3 = (2x^2)^3 + 3(2x^2)^2(5y) + 3(2x^2)(5y)^2 + (5y)^3 = 8x^6 + 60x^4y + 150x^2y^2 + 125y^3`
`+)` b.
`(3x^3-4xy)^3 = (3x^3)^3 - 3(3x^3)^2(4xy) + 3(3x^3)(4xy)^2 - (4xy)^3 = 27x^9 - 108x^7y + 144x^5y^2 - 64x^3y^3`
`+)` c.
$(6x + \frac{1}{2})(36x^2 - 3x + \frac{1}{4}) = (6x)^3 + (\frac{1}{2})^3 = 216x^3 + \frac{1}{8}$
`+)` d.
`(x - 5y^2)(x^2 + 5xy^2 + 25y^4) = x^3 - (5y^2)^3 = x^3 - 125y^6`
`-` Bài 37:
`+)` a.
`(5x + 1)^3 = (5x)^3 + 3(5x)^2(1) + 3(5x)(1)^2 + (1)^3 = 125x^3 + 75x^2 + 15x + 1`
`+)` b.
`(x - 2y)^3 = x^3 - 3(x)^2(2y) + 3(x)(2y)^2 - (2y)^3 = x^3 - 6x^2y + 12xy^2 - 8y^3`
`+)` c.
`(4x + 5)(16x^2 - 20x + 25) = (4x)^3 + (5)^3 = 64x^3 + 125`
`+)` d.
$(6x - \frac{1}{3})(36x^2 + 2x + \frac{1}{9}) = (6x)^3 - (\frac{1}{3})^3 = 216x^3 - \frac{1}{27}$
Hãy giúp mọi người biết câu trả lời này thế nào?
Đáp án:
Giải thích các bước giải:
`36.`
`a.`
`(2x^2+5y)^3`
`=(2x^2)^3+3 . (2x^2)^2 . 5y+3 . 2x^2 . (5y)^2+(5y)^3`
`=8x^6+3 . 4x^2 . 5y+3 . 2x^2 . 25y^2+5y^3`
`=8x^6+60x^2y+150x^2y^2+5y^3`
`b.`
`(3x^3-4xy)^3`
`=(3x^3)^3-3 . (3x^3)^2 . 4xy+3 . 3x^3 . (4xy)^2-(4xy)^3`
`=27x^9-3 . 9x^6 . 4xy+3 . 3x^3 . 16x^2y^2-64x^3y^3`
`=27x^9-108x^7 y+144x^5 y^2-64x^2y^3`
`c.`
`(6x+1/2)(36x^2-3x+1/4)`
`=(6x)^3+(1/2)^3`
`=216x^3+1/8`
`d.`
`(x-5y^2)(x^2+5xy^2+25y^4)`
`=x^3-(5y^2)^3`
`=x^3-125y^6`
`37.`
`a.` `(5x+1)^3`
`=(5x)^3+3(5x)^2.1+3.5x.1^2+1^3`
`=125x^3+3 . 25x^2+3.5x.1+1`
`=125x^3+75x^2+15x+1`
`b.`
`(x-2y)^3`
`=x^3-3 x^2 . 2y+3x . (2y)^2-(2y)^3`
`=x^3-6x^2y+3x . 4y^2-8y^3`
`=x^3-6x^2y+12xy^2-8y^3`
`c.`
`(4x+5)(16x^2-20x+15`
`=(4x)^3+5^3`
`=64x^3+125`
`d.`
`(6x-1/3)(36x^2+2x+1/9)`
`=(6x)^3-(1/3)^3`
`=216x^3-1/27`
Hãy giúp mọi người biết câu trả lời này thế nào?
Bảng tin