

Hãy luôn nhớ cảm ơn và vote 5*
nếu câu trả lời hữu ích nhé!
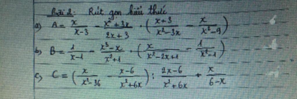
a)
A=$\frac{x}{x-3}$ - $\frac{x^2+3x}{2x+3}$ ($\frac{x+3}{x^2-3x}$ - $\frac{x}{x^2-9}$)
A= $\frac{x}{x-3}$ - $\frac{x^2+3x}{2x+3}$ ($\frac{x+3}{x(x-3)}$ - $\frac{x}{(x-3)(x+3)}$)
A=$\frac{x}{x-3}$ - $\frac{x^2+3x}{2x+3}$ ($\frac{(x+3)^2}{x(x-3)(x+3)}$ - $\frac{x^2}{x(x-3)(x+3)}$ )
A=$\frac{x}{x-3}$ - $\frac{x^2+3x}{2x+3}$ . $\frac{(x+3)^2 -x^2}{x(x-3)(x+3)}$
A=$\frac{x}{x-3}$ - $\frac{x^2+3x}{2x+3}$ . $\frac{[(x+3)-x][(x+3)+x]}{x(x-3)(x+3)}$
A=$\frac{x}{x-3}$ - $\frac{x(x+3)}{2x+3}$ . $\frac{3(2x+3)}{x(x-3)(x+3)}$
A=$\frac{x}{x-3}$ - $\frac{3}{x-3}$
A=$\frac{x-3}{x-3}$
A=1
Hãy giúp mọi người biết câu trả lời này thế nào?
Bảng tin