Vui lòng chỉ chọn một câu hỏi
Hoidap247.com Nhanh chóng, chính xác
+
Danh mục mới
7
1841
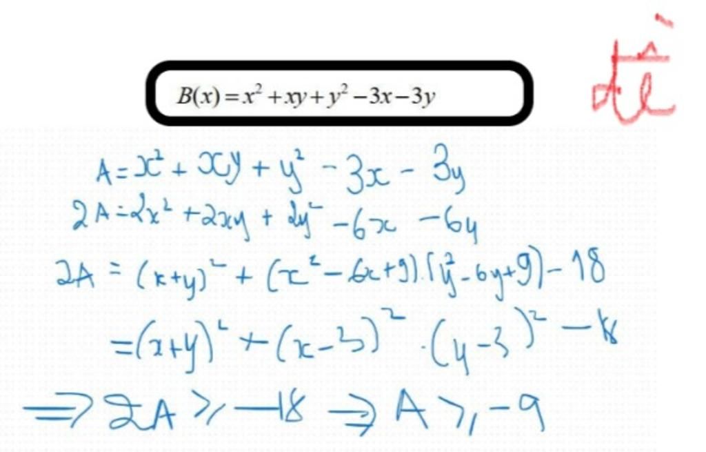
đây là đề của bai này bài y/c tìm GTNN mà nhân 2 người ta làm đúng e sai vậy sai chỗ nào chỉ em với ạ ko cần giải
Bảng tin
Gửi yêu cầu Hủy