

Hãy luôn nhớ cảm ơn và vote 5*
nếu câu trả lời hữu ích nhé!
`a)(x-9)(x-7)+1`
`=[(x-8)-1][(x-8)+1]+1`
`=(x-8)^2-1^2+1`
`=(x-8)^2-1+1`
`=(x-8)^2`
`b)x^6-y^6`
`=(x^3)^2-(y^3)^2`
`=(x^3-y^3)(x^3+y^3)`
`=(x-y)(x^2+xy+y^2)(x+y)(x^2-xy+y^2)`
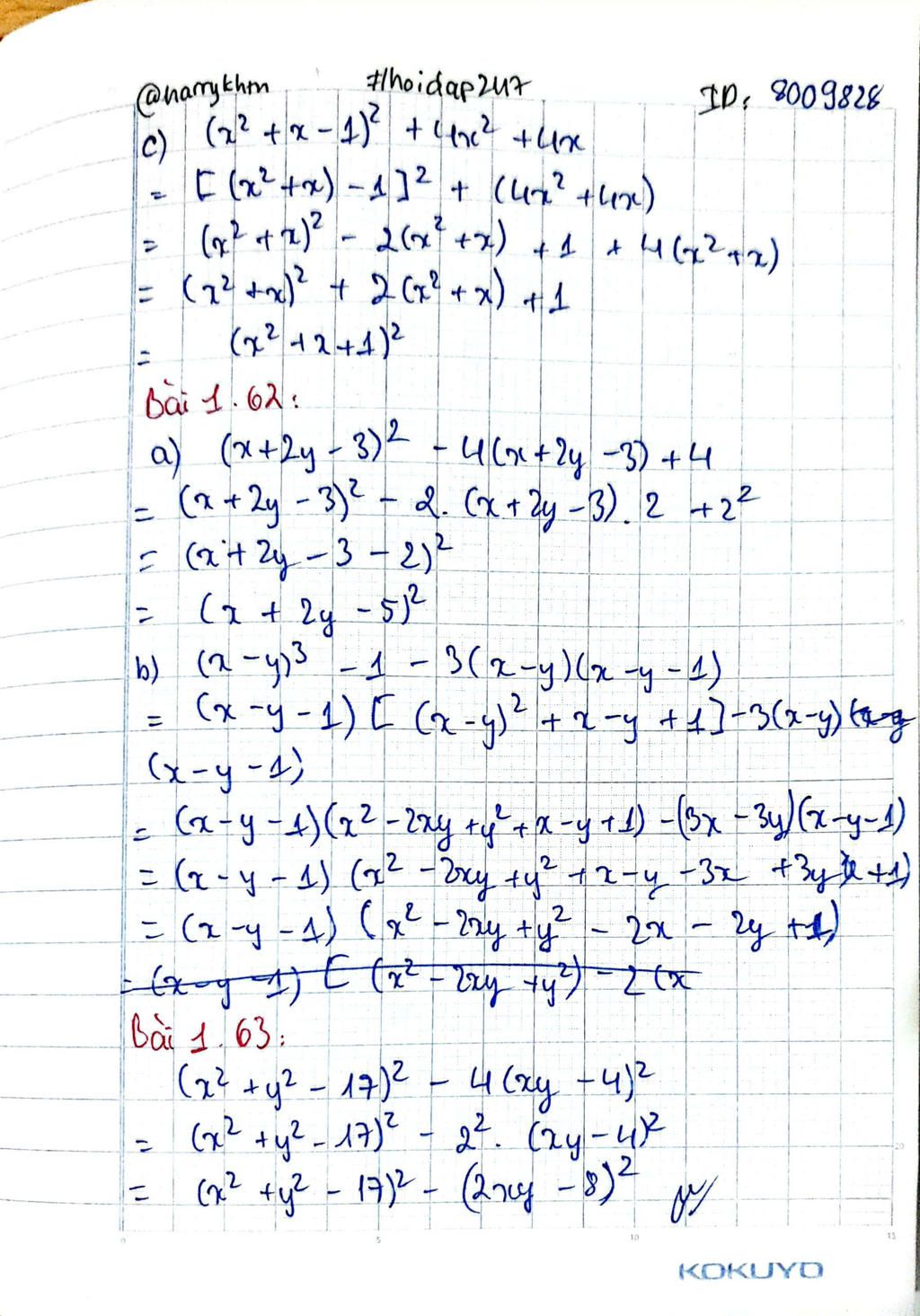
`c)(x^2+x-1)^2+4x^2+4x`
`=(x^2+x)^2-2(x^2+x)+1+4x^2+4x`
`=(x^2+x)^2-2(x^2+x)+1+4(x^2+x)`
`=(x^2+x)^2+2(x^2+x)+1`
`=(x^2+x+1)^2`
1.62:
`a)(x+2y-3)^2-4(x+2y-3)+4`
`=(x+2y-3)^2-2*(x+2y-3)*2+2^2`
`=(x+2y-3-2)^2`
`=(x+2y-5)^2`
`b)(x-y)^3-1-3(x-y)(x-y-1)`
`=(x-y-1)[(x-y)^2+(x-y)+1]-3(x-y)(x-y-1)`
`=(x-y-1)[(x-y)^2+(x-y)+1-3(x-y)]`
`=(x-y-1)[(x-y)^2-2(x-y)+1]`
`=(x-y-1)(x-y-1)^2`
`=(x-y-1)^3`
1.63:
`(x^2+y^2-17)^2-4(xy-4)^2`
`=(x^2+y^2-17)^2-(2xy-8)^2`
`=(x^2+y^2-17-2xy+8)(x^2+y^2-17+2xy-8)`
`=(x^2-2xy+y^2-9)(x^2+2xy+y^2-25)`
`=[(x-y)^2-9][(x+y)^2-5^2]`
`=(x-y-3)(x-y+3)(x+y+5)(x+y-5)`
1.64:
`a)x^3+15x^2+75x+125=0`
`x^3+3*x^2*5+3*x*5^2+5^3=0`
`(x+5)^3=0`
`x+5=0`
`x=-5`
Vậy: `x=-5`
`b)(x+2)^3+(x-3)^3=0`
`(x+2)^3=-(x-3)^3`
`(x+2)^3=(3-x)^3`
`x+2=3-x`
`x+x=3-2`
`2x=1`
`x=1/2`
Vậy: `x=1/2`
Hãy giúp mọi người biết câu trả lời này thế nào?

Bài 1.64 - b) `(x+2)^3 + (x-3)^3 = 0`
`[(x+2)+(x-3)] [(x+2)^2 - (x+2)(x-3) + (x-3)^2] = 0`
`(x + 2 + x - 3) (x^2 + 4x + 4 - x^2 + x + 6 + x^2 - 6x + 9) = 0
`(2x - 1)(x^2 - x + 19) = 0`
Suy ra: `2x - 1 = 0` hoặc `x^2 - x + 19 = 0`
Trường hợp 1: `2x - 1 = 0`
`2x = 1`
`x =1/2`
Trường hợp 2: `x^2 - x + 19 = 0`
`x^2 - 2 . 1/2 . x + (1/2)^2 + 75/4 = 0`
`(x-1/2)^2 = -75/4` (vô lí)
Vậy, `x = 1/2`
Hãy giúp mọi người biết câu trả lời này thế nào?

Bảng tin