

Hãy luôn nhớ cảm ơn và vote 5*
nếu câu trả lời hữu ích nhé!
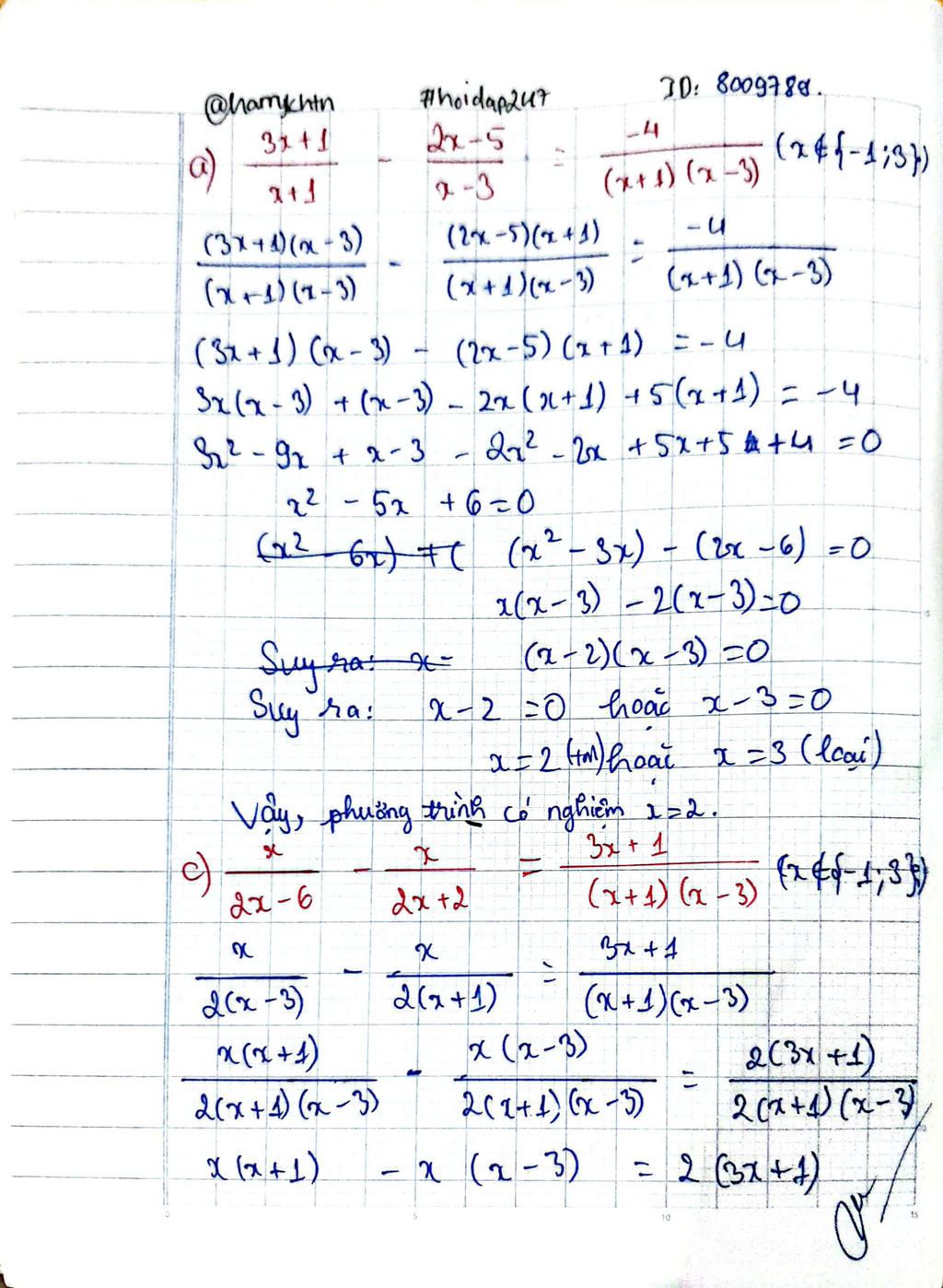
`a)(3x+1)/(x+1)-(2x-5)/(x-3)=(-4)/((x+1)(x-3))(x\ne-1,x\ne3)`
`((3x+1)(x-3))/((x+1)(x-3))-((2x-5)(x+1))/((x+1)(x-3))=(-4)/((x+1)(x-3))`
`(3x+1)(x-3)-(2x-5)(x+1)=-4`
`3x(x-3)+(x-3)-[2x(x+1)-5(x+1)]=-4`
`3x^2-9x+x-3-(2x^2+2x-5x-5)=-4`
`3x^2-8x-3-2x^2+3x+5=-4`
`x^2-5x+2=-4`
`x^2-5x+2+4=0`
`x^2-5x+6=0`
`(x^2-2x)+(-3x+6)=0`
`x(x-2)-3(x-2)=0`
`(x-2)(x-3)=0`
`x=2(tm)` hoặc `x=3(L)`
Vậy: `x=2`
`c)x/(2x-6)-x/(2x+2)=(3x+1)/((x+1)(x-3))(x\ne-1,x\ne3)`
`x/(x-3)-x/(x+1)=(6x+2)/((x+1)(x-3))`
`(x(x+1))/((x+1)(x-3))-(x(x-3))/((x+1)(x-3))=(6x+2)/((x+1)(x-3))`
`x(x+1)-x(x-3)=6x+2`
`x^2+x-x^2+3x=6x+2`
`4x=6x+2`
`4x-6x=2`
`-2x=2`
`x=-2/2`
`x=-1(L)`
Vậy pt đã cho vô nghiệm
`e)(x+5)/(x^2-5x)-(x-5)/(2x^2+10x)=(x+25)/(2x^2-50)(x\ne+-5,x\ne0)`
`(2(x+5))/(x^2-5x)-(x-5)/(x^2+5x)=(x+25)/(x^2-25)`
`(2x+10)/(x(x-5))-(x-5)/(x(x+5))=(x+25)/(x^2-25)`
`(x+5)(2x+10)-(x-5)^2=x(x+25)`
`2(x+5)^2-(x-5)^2=x^2+25x`
`2(x^2+10x+25)-(x^2-10x+25)=x^2+25x`
`2x^2+20x+50-x^2+10x-25=x^2+25x`
`x^2+30x+25=x^2+25x`
`30x+25=25x`
`30x+25-25x=0`
`5x+25=0`
`5x=-25`
`x=-5(tm)(L)`
Vậy pt đã cho vô nghiệm
Hãy giúp mọi người biết câu trả lời này thế nào?
Bảng tin