

Hãy luôn nhớ cảm ơn và vote 5*
nếu câu trả lời hữu ích nhé!
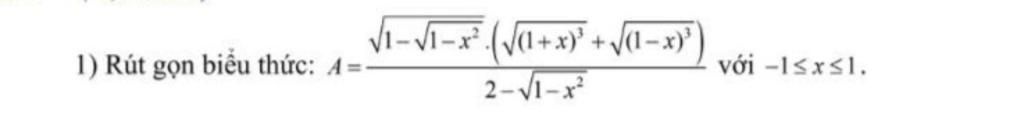
Điều kiện xác định: `-1 <= x <= 1`
`A = (sqrt(1-sqrt(1-x^2)) * (sqrt((1+x)^3) + sqrt((1-x)^3))) / (2 - sqrt(1-x^2))`
Ta có:
`sqrt((1+x)^3) + sqrt((1-x)^3) = (sqrt(1+x) + sqrt(1-x))((1+x) - sqrt((1+x)(1-x)) + (1-x))`
`= (sqrt(1+x) + sqrt(1-x))(2 - sqrt(1-x^2))`
`sqrt(1-sqrt(1-x^2)) = sqrt((2 - 2sqrt(1-x^2))/2)`
`= sqrt(((1+x) - 2sqrt(1+x)sqrt(1-x) + (1-x))/2)`
`= sqrt((sqrt(1+x) - sqrt(1-x))^2 / 2)`
`= (|sqrt(1+x) - sqrt(1-x)|)/sqrt(2)`
Suy ra:
`A = ((|sqrt(1+x) - sqrt(1-x)|)/sqrt(2) * (sqrt(1+x) + sqrt(1-x))(2 - sqrt(1-x^2))) / (2 - sqrt(1-x^2))`
Vì `-1 <= x <= 1` nên `0 <= sqrt(1-x^2) <= 1`
`=> 2 - sqrt(1-x^2) > 0`
`A = (|sqrt(1+x) - sqrt(1-x)|(sqrt(1+x) + sqrt(1-x)))/sqrt(2)`
`A = |(sqrt(1+x))^2 - (sqrt(1-x))^2|/sqrt(2)`
`A = |(1+x) - (1-x)|/sqrt(2)`
`A = |2x|/sqrt(2)`
`A = sqrt(2)|x|`
Hãy giúp mọi người biết câu trả lời này thế nào?
Bảng tin
3842
1585
3934
chăm thí
3842
1585
3934
một mình anh làm 99 câu
3842
1585
3934
what te phat