

Hãy luôn nhớ cảm ơn và vote 5*
nếu câu trả lời hữu ích nhé!
Đáp án `+` Giải thích các bước giải:
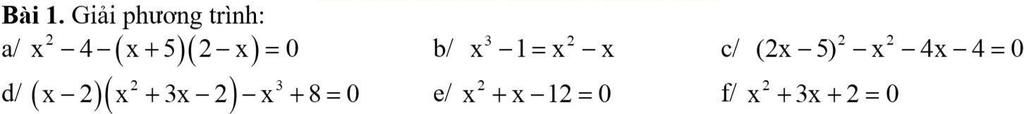
`a,`
`x^2 - 4 - (x+5)(2-x) = 0`
`=>(x-2)(x+2) + (x+5)(x-2)=0`
`=>(x-2)[(x+2) + (x+5)] = 0`
`=>(x-2)(2x + 7) = 0`
`=>x-2=0` hoặc `2x+ 7 = 0`
`=>x=2` hoặc `2x = -7`
`=>x=2` hoặc `x=-7/2`
Vậy `x in {2;-7/2}`
`b,`
`x^3 - 1 = x^2 - x`
`=>x^3 - 1 - x^2 + x=0`
`=>(x^3 - x^2) + (x-1) = 0`
`=>x^2(x-1) + (x-1) = 0`
`=>(x-1)(x^2 + 1) = 0`
`=>x-1=0` hoặc `x^2 + 1 = 0` (vô lí)
`=>x-1=0`
`=>x=1`
Vậy `x=1`
`e,`
`x^2 + x - 12 = 0`
`=>x^2 - 3x + 4x - 12 = 0`
`=>(x-3)(x+4) = 0`
`=>x-3=0` hoặc `x+4=0`
`=>x=3` hoặc `x=-4`
Vậy `x in {3;-4}`
`f,`
`x^2 + 3x + 2 = 0`
`=>x^2 + x + 2x + 2 = 0`
`=>(x+1)(x+2) = 0`
`=>x+1=0` hoặc `x+2=0`
`=>x=-1` hoặc `x=-2`
Vậy `x in {-1;-2}`
Hãy giúp mọi người biết câu trả lời này thế nào?

`a)`
`x^2 - 4 - (x + 5)(2 - x) = 0`
`(x - 2)(x + 2) + (x + 5)(x - 2) = 0`
`(x - 2)(x + 2 + x + 5) = 0`
`(x - 2)(2x + 7) = 0`
`=>[ (x = 2), (x = -7/2) :}`
`b)`
`x^3 - 1 = x^2 - x`
`x^3 - x^2 + x - 1 = 0`
`x^2(x - 1) + (x - 1) = 0`
`(x - 1)(x^2 + 1) = 0`
`=> x - 1 = 0`
`=> x = 1`
`c)`
`(2x - 5)^2 - x^2 - 4x - 4 = 0`
`(2x - 5)^2 - (x^2 + 4x + 4) = 0`
`(2x - 5)^2 - (x + 2)^2 = 0`
`[(2x - 5) - (x + 2)][(2x - 5) + (x + 2)] = 0`
`(x - 7)(3x - 3) = 0`
`=>[ (x = 7), (x = 1) :}`
`d)`
`(x - 2)(x^2 + 3x - 2) - x^3 + 8 = 0`
`(x - 2)(x^2 + 3x - 2) - (x^3 - 8) = 0`
`(x - 2)(x^2 + 3x - 2) - (x - 2)(x^2 + 2x + 4) = 0`
`(x - 2)((x^2 + 3x - 2) - (x^2 + 2x + 4)) = 0`
`(x - 2)(x - 6) = 0`
`=>[ (x = 2), (x = 6) :}`
Hãy giúp mọi người biết câu trả lời này thế nào?

Bảng tin
1
176
0
giúp em bài này đc ko h ttps://hoidap247.com/cau-hoi/8009682
1034
119
395
cố gánh tem nhe aa
1
176
0
h ttps://hoidap247.com/cau-hoi/8009701 câu này nx
504
3543
163
h ttps://hoidap247.com/cau-hoi/8009682 `->` để mình xem đã ạ
1
176
0
ok ạ
504
3543
163
cố gánh tem nhe aa `->` mình cx cs nhiều câu anh dễ nhóm thiếu thì bảo mình
1034
119
395
nhắn vào ctrloi của t với ạ