

Hãy luôn nhớ cảm ơn và vote 5*
nếu câu trả lời hữu ích nhé!
Đáp án `+` Giải thích các bước giải:
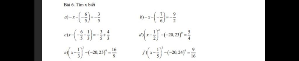
a) `-x - (-6/5) = -3/5`
`-x + 6/5 = -3/5`
`-x = -3/5 - 6/5`
`-x = -8/5`
`x = 8/5.`
b) `-x - (-7/6) = -9/2`
`-x + 7/6 = -9/2`
`-x = -9/2 - 7/6`
`-x = -27/6 - 7/6`
`-x = -17/3`
`x = 17/3.`
c) `x - (-6/5 - 1/3) = -3/5 + 4/3`
`x + 6/5 + 1/3 = -3/5 + 4/3`
`x = -3/5 + 4/3 - 6/5 - 1/3`
`x = (-3/5 - 6/5) + (4/3 - 1/3)`
`x = -9/5 + 1`
`x = -4/5.`
d) `(x - 1/2)^2 - (-20,23)^0 = 5/4`
`(x - 1/2)^2 - 1 = 5/4`
`(x - 1/2)^2 = 5/4 + 1`
`(x - 1/2)^2 = 9/4`
`TH1: x - 1/2 = 3/2`
`x = 3/2 + 1/2`
`x = 4/2.`
`TH2: x - 1/2 = -3/2`
`x = -3/2 + 1/2`
`x = -1.`
Vậy: `x ∈ {-1; 4/2}.`
e) `(x - 1/3)^2 - (-20,25)^0 = 16/9`
`(x - 1/3)^2 - 1 = 16/9`
`(x - 1/3)^2 = 16/9 + 1`
`(x - 1/3)^2 = 25/9`
`TH1: x - 1/3 = 5/3`
`x = 5/3 + 1/3`
`x = 2.`
`TH2: x - 1/3 = -5/3`
`x = -5/3 + 1/3`
`x = -4/3.`
Vậy: `x ∈ {-4/3; 2}.`
f) `(x - 1/5)^2 - (-20,24)^0 = 9/16`
`(x - 1/5)^2 - 1 = 9/16`
`(x - 1/5)^2 = 9/16 + 1`
`(x - 1/5)^2 = 25/16`
`TH1: x - 1/5 = 5/4`
`x = 5/4 + 1/5`
`x = 25/20 + 4/20`
`x = 29/20.`
`TH2: x - 1/5 = -5/4`
`x = -5/4 + 1/5`
`x = -25/20 + 4/20`
`x = 21/20.`
Vậy: `x ∈ {29/20; 21/20}.`
Hãy giúp mọi người biết câu trả lời này thế nào?

Bảng tin