

Giúp mình với ạ cần gấp ạ
Hãy luôn nhớ cảm ơn và vote 5*
nếu câu trả lời hữu ích nhé!
`\color{cyan}\text{Wanna}`
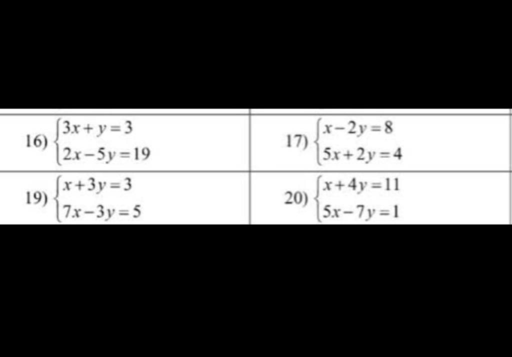
`16){(3x+y=3),(2x-5y=19):}`
`{(15x+5y=15),(2x-5y=19):}`
`{(17x=34),(3x+y=3):}`
`{(x=2),(3.2+y=3):}`
`{(x=2),(y=-3):}`
Vậy hệ phương trình có tập nghiệm `(x;y)=(2;-3)`
`17){(x-2y=8),(5x+2y=4):}`
`{(6x=12),(x-2y=8):}`
`{(x=2),(2-2y=8):}`
`{(x=2),(2y=-6):}`
`{(x=2),(y=-3):}`
Vậy hệ phương trình có tập nghiệm `(x;y)=(2;-3)`
`19){(x+3y=3),(7x-3y=5):}`
`{(8x=8),(x+3y=3):}`
`{(x=1),(1+3y=3):}`
`{(x=1),(3y=-2):}`
`{(x=1),(y=-2/3):}`
Vậy hệ phương trình có tập nghiệm `(x;y)=(1;-2/3)`
`20){(x+4y=11),(5x-7y=1):}`
`{(5x+20y=55),(5x-7y=1):}`
`{(27y=54),(x+4y=11):}`
`{(y=2),(x+4.2=11):}`
`{(x=3),(y=2):}`
Vậy hệ phương trình có tập nghiệm `(x;y)=(3;2)`
Hãy giúp mọi người biết câu trả lời này thế nào?
Bảng tin