

cứu em câu 9 với gấp lắm ạ
Hãy luôn nhớ cảm ơn và vote 5*
nếu câu trả lời hữu ích nhé!
Đáp án + Giải thích các bước giải:
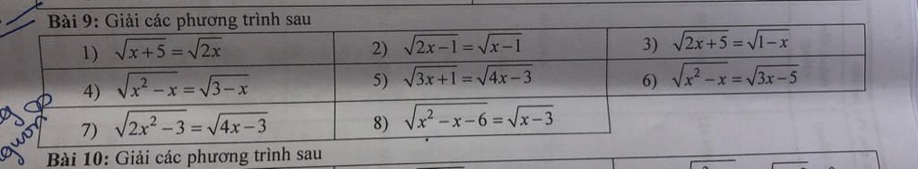
$\textbf{1}\bigg) \sqrt{x + 5} = \sqrt{2x} (x \ge 0)$
$x + 5 = 2x$
$5 - x = 0$
$x = 5$
Vậy $S = $`{5}`
$\textbf{2}\bigg) \sqrt{2x - 1} = \sqrt{x - 1} (x \ge 1)$
$2x - 1 = x - 1$
$3x = 0$
$x = 0(ktmđk)$
Vậy $S = \varnothing$
$\textbf{3}\bigg) \sqrt{2x + 5} = \sqrt{1 - x} (x \le 1)$
$2x + 5 = 1 - x$
$3x = -4$
$x = -\dfrac{4}{3}$
Vậy $S = $`{-4/3}`
$\textbf{4}\bigg) \sqrt{x^2 - x} = \sqrt{3 - x}(x \le 3)$
$x^2 - x = 3 - 2x$
$x^2 + x - 3 = 0(a = 1; b = 1; c = -3)$
$\Delta = b^2 - 4ac = 1^2 - 4(-3) = 13 > 0$
Phương trình có $2$ nghiệm phân biệt:
$x_1 = \dfrac{-b + \sqrt{\Delta}}{2a} = \dfrac{-1 + \sqrt{13}}{2}$
$x_2 = \dfrac{-b - \sqrt{\Delta}}{2a} = \dfrac{-1 - \sqrt{13}}{2}$
Vậy $S = $`{(-1 \pm \sqrt(13))/2}`
$\textbf{5}\bigg) \sqrt{3x + 1} = \sqrt{4x - 3}\bigg(x \ge \dfrac{3}{4}\bigg)$
$3x + 1 = 4x - 3$
$-x + 4 = 0$
$x = 4$
Vậy $S = $`{4}`
$\textbf{6}\bigg) \sqrt{x^2 - x} = \sqrt{3x - 5}\bigg(x \ge \dfrac{5}{3}\bigg)$
$x^2 - x = 3x - 5$
$x^2 - 4x + 5 = 0$
$(x - 2)^2 = -1(\text{vô lý})$
Vậy $S = \varnothing$
$\textbf{7}\bigg) \sqrt{2x^2 - 3} = \sqrt{4x - 3}\bigg(x \ge \dfrac{3}{4}\bigg)$
$2x^2 - 3 =4 x - 3$
$2x^2 - 4x = 0$
$2x(x - 2) = 0$
$x = 0 (ktmđk)$ hoặc $x = 2 (tmđk)$
Vậy $S = $`{2}`
$\textbf{8}\bigg) \sqrt{x^2 - x - 6} = \sqrt{x - 3}(x \ge 3)$
$x^2 - x - 6 = x - 3$
$x^2 - 2x - 3 = 0$
$(x + 1)(x - 3) = 0$
$x =-1 (ktmđk)$ hoặc $x = 3(tmđk)$
Vậy $S = $`{3}`
Hãy giúp mọi người biết câu trả lời này thế nào?
![]()
Bảng tin