

Hãy luôn nhớ cảm ơn và vote 5*
nếu câu trả lời hữu ích nhé!
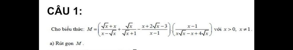
Đáp án:
`a)`
`M = ((sqrt{x} + x)/(x - sqrt{x}) + sqrt{x}/(sqrt{x} + 1) - (x + 2sqrt{x} - 3)/(x - 1)) . ((x - 1)/(x sqrt{x} - x + 4sqrt{x}))` với `x > 0 , x ne 1`
`M = [(sqrt{x}(1 + sqrt{x})/(sqrt{x}(sqrt{x} - 1)) + sqrt{x}/(sqrt{x} + 1) - (x + 2sqrt{x} - 3)/((sqrt{x} - 1)(sqrt{x} + 1))] . (x - 1)/(sqrt{x}(x - sqrt{x} + 4))`
`M = [(1 + sqrt{x})/(sqrt{x} - 1) + sqrt{x}/(sqrt{x} + 1) - (x + 2sqrt{x} - 3)/((sqrt{x} - 1)(sqrt{x} + 1)) . (x - 1)/(sqrt{x} . (x - sqrt{x} + 4))`
`M = ((sqrtx + 1)^2 + sqrt{x} . (sqrt{x} - 1) - x - 2sqrt{x} + 3)/((sqrt{x} - 1)(sqrt{x} + 1)) . ((sqrt{x} - 1)(sqrt{x} + 1))/(sqrt{x} . (x - sqrt{x} + 4))`
`M = (x + 2sqrt{x} + 1 + x - sqrt{x} - x - 2sqrt{x} + 3)/(sqrt{x} . (x - sqrt{x} + 4))`
`M = (x - sqrt{x} + 4)/(sqrt{x} . (x - sqrt{x} + 4))`
`M = 1/sqrt{x}`
Vậy `M = 1/sqrt{x}`
Hãy giúp mọi người biết câu trả lời này thế nào?
Bảng tin