

giúp toi với giải thích giúp mình chi tiết
Hãy luôn nhớ cảm ơn và vote 5*
nếu câu trả lời hữu ích nhé!
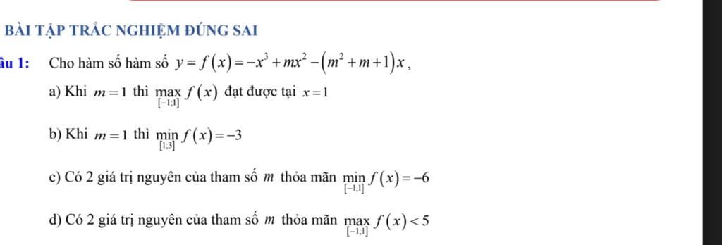
Câu `1:`
`a) f(x) = -x^3 + mx^2 - (m^2 + m + 1)x`
Tại `m = 1 to f(x) = -x^3 + x^2 - 3x`
`f'(x) = -3x^2 + 2x - 3 < 0`
Vẽ bảng biến thiên:
`to max_{[-1;1]} f(x)` đạt được tại `x = -1`
`to` Sai
`b)` Khi `m = 1 to min_{[-1;1]} f(x) = f(1) = -1^3 + 1^2 - 3 . 1 = -3`
`to` Đúng
`c) f'(x) = -3x^2 + 2xm - (m^2 + m + 1)`
Ta có : `\Delta' = m^2 - 3(m^2 + m + 1) = -2m^2 - 3m - 3 < 0 ; a < 0`
`to f'(x) < 0`
`to min_{[-1;1]} f(x) = f(1) = -1^3 + m - (m^2 + m + 1) = -6`
`to -1 + m - m^2 - m - 1 = -6`
`to m^2 = 4 to m = \pm 2`
`to` Đúng
`c) max_{[-1;1]} f(x) = f(-1) = - (-1)^3 + m . (-1)^2 + m^2 + m + 1 < 5`
`to 1 + m + m^2 + m + 1 - 5 < 0`
`to m^2 + 2m - 3 < 0`
`to (m + 3)(m - 1) < 0`
`to -3 < m < 1`
Vì `m` nguyên nên `m \in {-2 ; -1 ; 0} to` Có `3` giá trị nguyên `m` thỏa mãn
`to` Sai
Hãy giúp mọi người biết câu trả lời này thế nào?
Bảng tin