

Hãy luôn nhớ cảm ơn và vote 5*
nếu câu trả lời hữu ích nhé!
\begin{array}{c} \color{#FFFFFFff}{F}\color{#D0E4FFff}{u}\color{#A4C8FFff}{r}\color{#78ACFFff}{i}\color{#4C90FFff}{n}\color{#2064FFff}{a} \color{#0040A4ff}{F}\color{#2064FFff}{o}\color{#4C90FFff}{r}\color{#78ACFFff}{c}\color{#A4C8FFff}{a}\color{#D0E4FFff}{l}\color{#FFFFFFff}{o}\color{#D0E4FFff}{s} \end{array}
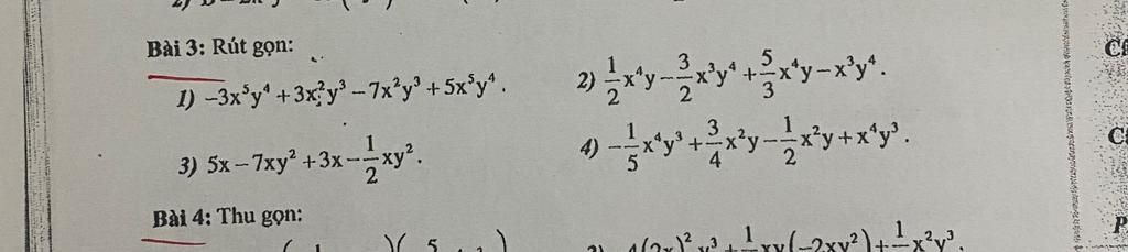
Bài `3:`
`1, -3x^5y^4 +3x^2y^3 -7x^2y^3 +5x^5y^4`
`=(-3x^5y^4 +5x^5y^4)+(3x^2y^3-7x^2y^3)`
`=2x^5y^4 -4x^2y^3`
`2, 1/2x^4y -3/2x^3y^4 +5/3x^4y -x^3y^4`
`=(1/2x^4y +5/3x^4y)+(-3/2x^3y^4 -x^3y^4)`
`=13/6x^4y -5/2x^3y^4`
`3, 5x-7xy^2 +3x-1/2xy^2`
`=(5x+3x)+(-7xy^2-1/2xy^2)`
`=8x-15/2xy^2`
`4, -1/5x^4y^3 +3/4x^2y -1/2x^2y +x^4y^3`
`=(-1/5x^4y^3 +x^4y^3)+(3/4x^2y -1/2x^2y)`
`=4/5x^4y^3 +1/4x^2y`
Hãy giúp mọi người biết câu trả lời này thế nào?
Bài `3`
`1)`
`-3x^5y^4+3x^2y^3-7x^2y^3+5x^5y^4`
`=-3x^5y^4+5x^5y^4+3x^2y^3-7x^2y^3`
`=2x^5y^4-4x^2y^3`
`2)`
`1/2 x^4 y-3/2 x^3 y^4+5/3x^4y-x^3y^4`
`=1/2 x^4y+5/3x^4y-3/2x^3y^4-x^3y^4`
`=13/6 x^4y-5/2x^3y^4`
`3)`
`5x-7xy^2+3x-1/2xy^2`
`5x+3x-7xy^2-1/2xy^2`
`=8x-15/2xy^2`
`4)`
`-1/5 x^4y^3+3/4 x^2y-1/2x^2y+x^4y^3`
`=-1/5x^4y^3+x^4y^3+3/4x^2y-1/2x^2y`
`=4/5x^4y^3+1/4x^2y`
Hãy giúp mọi người biết câu trả lời này thế nào?
Bảng tin
1348
573
1688
hello a lâu r ko gặp
1726
6466
2587
lâu r ko diddy skibidi thng e 🗿🗿🗿
1348
573
1688
-)))))
1726
6466
2587
ko về nx à
1348
573
1688
có acc phụ r-))
1348
573
1688
acc này dag đi chs-))