

Hãy luôn nhớ cảm ơn và vote 5*
nếu câu trả lời hữu ích nhé!
` *** 10. `
`1) (x+y)(x-3y) `
`= x^2 - 3xy + xy - 3y^2 `
`= x^2 - 2xy - 3y^2 `
`2) (2x -y)(3x + 2y) `
`= 6x^2 + 4xy - 3xy - 2y^2 `
`= 6x^2 + xy - 2y^2 `
`3) (x+5)(5-x) `
`= 5x - x^2 + 25 - 5x `
`= -x^2 + 25 `
`4) (5x-2)(7x - 3) `
`= 35x^2 - 15x - 14x + 6 `
`= 35x^2 - 29x + 6 `
`5) (3+x)(x^2 - 3x + 9) `
`= 3x^2 - 9x + 27 + x^3 - 3x^2 + 9x `
`= x^3 + 27 `
`6) (2x +y)(4x^2 - 2xy + y^2) `
`= 8x^3 - 4x^2y + 2xy^2 + 4x^2y - 2xy^2 + y^3 `
`= 8x^3 + y^3 `
Hãy giúp mọi người biết câu trả lời này thế nào?
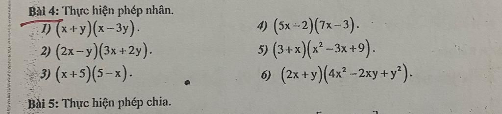
Bài 4:
`1)` `(x+y)(x-3y) = x^2 - 3xy + xy - 3y^2 = x^2 - 2xy - 3y^2`
`2)` `(2x-y)(3x+2y) = 6x^2 + 4xy - 3xy - 2y^2 = 6x^2 + xy - 2y^2`
`3)` `(x+5)(5-x) = 5x - x^2 + 25 - 5x = 25 - x^2`
`4)` `(5x-2)(7x-3) = 35x^2 - 15x - 14x + 6 = 35x^2 - 29x + 6`
`5)` `(3+x)(x^2-3x+9) = x^3 + 3^3 = x^3 + 27`
`6)` `(2x+y)(4x^2-2xy+y^2) = (2x)^3 + y^3 = 8x^3 + y^3`
Hãy giúp mọi người biết câu trả lời này thế nào?
Bảng tin
129
609
185
Do nhóm t chill + t ốm mấy bx h
1456
379
578
à ukm , tại thấy nhs m chill qs thoi , mà mấy bx nx đi hc r :v
129
609
185
T chx nghỉ hè mà=)))
1456
379
578
t t2 đi r
129
609
185
chúc mừng bạn nha=) trường t còn chx đưa d/s sgk=)
1456
379
578
h t cx muốn đua mà bận + no thành viên kk
129
609
185
=))
129
609
185
Nhóm t chill