

Help :)))))))))))))))
Hãy luôn nhớ cảm ơn và vote 5*
nếu câu trả lời hữu ích nhé!
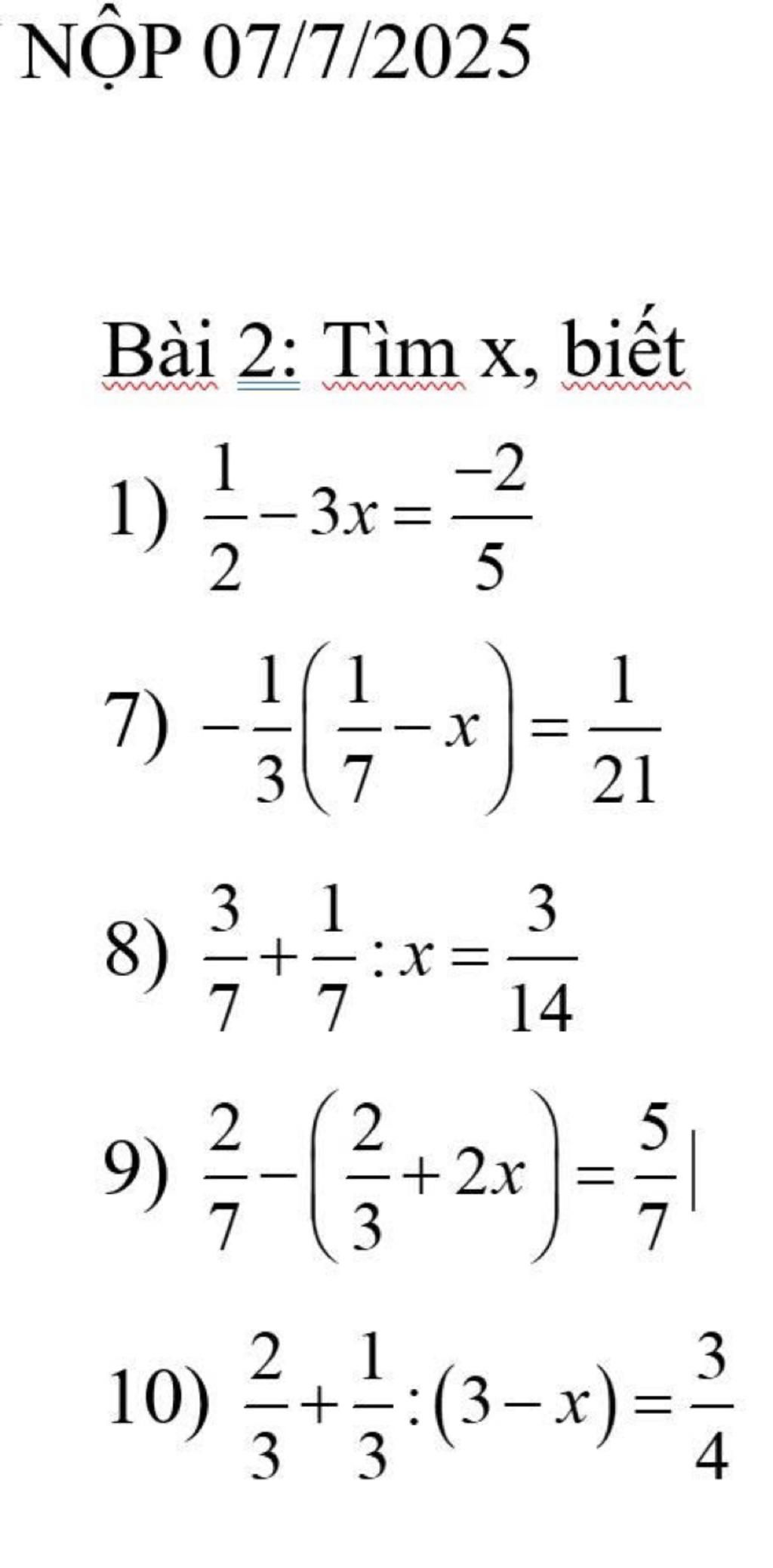
`1 ) 1/2 - 3x = -2/5`
`3x = 1/2 - -2/5`
`3x = 9/10`
`x = 9/10 : 3`
`x = 3/10`
Vậy `x = 3/10`
``
`7 ) -1/3(1/7 - x ) = 1/21`
`1/7 - x = 1/21 : -1/3`
`x = 1/7 - -1/7`
`x = 1/7 + 1/7`
`x = 2/7`
Vậy `x = 2/7`
``
`8 ) 3/7 + 1/7 : x = 3/14`
`1/7 : x = 3/14 - 3/7`
`1/7 : x = -3/14`
`x = 1/7 : -3/14`
`x = -2/3`
Vậy `x = -2/3`
``
`9 ) 2/7 - ( 2/3 + 2x ) = 5/7`
`2/3 + 2x = 2/7 - 5/7`
`2x = -3/7 - 2/3`
`x = -23/21 : 2`
`x = -23/42`
Vậy `x = -23/42`
``
`10 ) 2/3 + 1/3 : ( 3 - x ) = 3/4`
`1/3 : ( 3 - x ) = 3/4 - 2/3`
`3 - x = 1/3 : 1/12`
`x = 3 - 4`
`x = -1`
Vậy `x = -1`
Hãy giúp mọi người biết câu trả lời này thế nào?
Bài 2:
`1)1/2-3x=-2/5`
`3x=1/2+2/5`
`3x=5/10+4/10`
`3x=9/10`
`x=9/10:3`
`x=3/10`
Vậy: `x=3/10`
`7)-1/3(1/7-x)=1/21`
`1/7-x=1/21:(-1/3)`
`1/7-x=1/21*(-3)`
`1/7-x=-1/7`
`x=1/7+1/7`
`x=2/7`
Vậy: `x=2/7`
`8)3/7+1/7:x=3/14`
`1/7:x=3/14-3/7`
`1/7:x=3/14-6/14`
`1/7:x=-3/14`
`x=1/7:(-3/14)`
`x=1/7*(14/-3)`
`x=-2/3`
Vậy: `x=-2/3`
`9)2/7-(2/3+2x)=5/7`
`2/3+2x=2/7-5/7`
`2/3+2x=-3/7`
`2x=-3/7-2/3`
`2x=-23/21`
`x=-23/21:2`
`x=-23/42`
Vậy: `x=-23/42`
`10)2/3+1/3:(3-x)=3/4`
`1/3:(3-x)=3/4-2/3`
`1/3:(3-x)=1/12`
`3-x=1/3:1/12`
`3-x=4`
`x=3-4`
`x=-1`
Vậy: `x=-1`
Hãy giúp mọi người biết câu trả lời này thế nào?
Bảng tin
292
1841
1030
vào nhóm ko bn
50
787
29
mình xin trưởng mình dạo chs đến ngày 15/7 nên 15/7 mình out nhóm nha
292
1841
1030
ok