

Hãy luôn nhớ cảm ơn và vote 5*
nếu câu trả lời hữu ích nhé!
Đáp án:
Giải thích các bước giải:
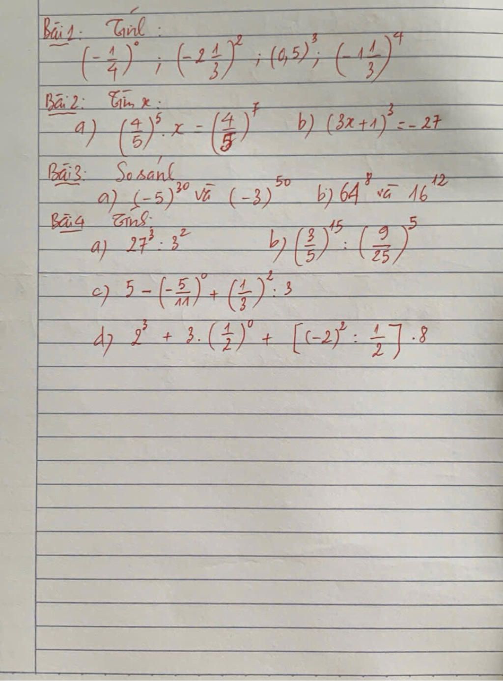
Bài `1`:
$\left(-\frac{1}{4}\right)^0 = 1$
$\left(-2\frac{1}{3}\right)^2 = \left(-\frac{7}{3}\right)^2 = \frac{(-7)^2}{3^2} = \frac{49}{9}$
$(0,5)^3 = \left(\frac{1}{2}\right)^3 = \frac{1^3}{2^3} = \frac{1}{8}$
$\left(-1\frac{1}{3}\right)^4 = \left(-\frac{1 \cdot 3 + 1}{3}\right)^4 = \left(-\frac{4}{3}\right)^4 = \frac{(-4)^4}{3^4} = \frac{256}{81}$
Bài `2`:
a) $\left(\frac{4}{5}\right)^5 \cdot x = \left(\frac{4}{5}\right)^7$
$x = \left(\frac{4}{5}\right)^7 \div \left(\frac{4}{5}\right)^5$
$x = \left(\frac{4}{5}\right)^{7-5}$
$x = \left(\frac{4}{5}\right)^2$
$x = \frac{4^2}{5^2}$
$x = \frac{16}{25}$
b) $(3x+1)^3 = -27$
$(3x+1)^3 = (-3)^3$
$3x+1 = -3$
$3x = -3-1$
$3x = -4$
$x = -\frac{4}{3}$
Bài `3:`
a) $(-5)^{30}$ và $(-3)^{50}$
Ta có:
$(-5)^{30} = ((-5)^3)^{10} = (-125)^{10} = 125^{10}$
$(-3)^{50} = ((-3)^5)^{10} = (-243)^{10} = 243^{10}$
Vì $125 < 243$, nên $125^{10} < 243^{10}$.
Vậy, $(-5)^{30} < (-3)^{50}$.
b) $64^8$ và $16^{12}$
Ta có:
$64^8 = (2^6)^8 = 2^{6 \cdot 8} = 2^{48}$
$16^{12} = (2^4)^{12} = 2^{4 \cdot 12} = 2^{48}$
Vì $2^{48} = 2^{48}$.
Vậy, $64^8 = 16^{12}$.
Bài 4:
a) $27^3 \cdot 3^2$
$27^3 \cdot 3^2 = (3^3)^3 \cdot 3^2 = 3^{3 \cdot 3} \cdot 3^2 = 3^9 \cdot 3^2 = 3^{9+2} = 3^{11}$
$3^{11} = 177147$
b) $\left(\frac{3}{5}\right)^{15} \div \left(\frac{9}{25}\right)^5$
$\left(\frac{3}{5}\right)^{15} \div \left(\frac{3^2}{5^2}\right)^5$
$= \left(\frac{3}{5}\right)^{15} \div \left(\left(\frac{3}{5}\right)^2\right)^5$
$= \left(\frac{3}{5}\right)^{15} \div \left(\frac{3}{5}\right)^{10}$
$= \left(\frac{3}{5}\right)^{15-10}$
$= \left(\frac{3}{5}\right)^5$
$= \frac{3^5}{5^5} = \frac{243}{3125}$
c) $5 - \left(-\frac{5}{11}\right)^0 + \left(\frac{1}{3}\right)^2 : 3$
$= 5 - 1 + \frac{1^2}{3^2} : 3$
$= 5 - 1 + \frac{1}{9} : 3$
$= 4 + \frac{1}{27}$
$= \frac{108}{27} + \frac{1}{27} = \frac{109}{27}$
d) $2^3 + 3 \cdot \left(\frac{1}{2}\right)^0 + [(-2)^2 : \frac{1}{2}] \cdot 8$
$= 8 + 3 \cdot 1 + [4 : \frac{1}{2}] \cdot 8$
$= 8 + 3 + [8] \cdot 8$
$= 11 + 64$
$= 75$
Hãy giúp mọi người biết câu trả lời này thế nào?
Đáp án và Giải thích các bước giải:
Bài `1.`
`@` `( -1/4 )^0 = 1` ( ta có `a^n = 1.a.a...a`, nên `(-1/4 )^0 = 1` vì chả có số `-1/4` để nhân nên kết quả của phép tính bằng `1` )
`@` `(-2 1/3 )^2 = ( -7/3 )^2 = -7/3 . (-7/3) = 49/9`
`@` `(0,5 )^3 = (0,5) . (0,5) . (0,5) = 1/8`
`@` `(-1 1/3 )^4 = ( -4/3 )^4 = -4/3 . (-4)/3 . (-4)/3 . (-4)/3 = 256/81`
`----------------`
Bài `2.`
`a. ( 4/5 )^5 . x = ( 4/5 )^7`
`x = ( 4/5 )^7 : ( 4/5 )^5`
`x = ( 4/5 )^{7-5}`
`x = ( 4/5 )^2`
`x = 16/25`
Vậy `x = 16/25`
`b.` `(3x + 1 )^3 = -27`
`( 3x + 1 )^3 = (-3)^3`
`3x + 1 = -3`
`3x = -3 - 1`
`3x = -4`
`x = -4 : 3`
`x = -4/3`
Vậy `x = -4/3`
`----------------`
Bài `3.`
`a.` So sánh: `(-5)^30` và `(-3)^50`
Ta có:
`(-5)^30 = [(-5)^3 ]^10 = (-125)^10 = 125^10 `
`(-3)^50 = [(-3)^5 ]^10 = (-243)^10 = 243^10`
do `125 < 243` nên `( 125 )^10 < (243 )^10`
Vậy `(-5)^30 < (-3)^50`
`b.` So sánh: `64^8` và `16^12`
Ta có:
`64^8 = (2^6 )^8 = 2^{6.8} = 2^48`
`16^12 = (2^4 )^12 = 2^{4.12} = 2^48`
do `2^48 = 2^48`
Vậy `64^8 = 16^12`
`----------------`
Bài `4.`
`a.` `27^3 : 3^2`
`= (3^3 )^3 : 3^2`
`= 3^9 : 3^2`
`= 3^{9-2}`
`= 3^7`
`b.` `( 3/5 )^15 : ( 9/25 )^5`
`= ( 3/5 )^15 : [( 3/5 )^2 ]^5`
`= ( 3/5 )^15 : ( 3/5 )^10`
`= ( 3/5 )^{15 - 10}`
`= ( 3/5 )^5`
`c.` `5 - ( -5/11 )^0 + ( 1/3 )^2 : 3 `
`= 5 - 1 + ( 1/3 )^2 . 1/3`
`= 4 + ( 1/3 )^{2+1}`
`= 4 + ( 1/3 )^3 `
`= 4 + 1/27 `
`= 109/27`
`d.` `2^3 + 3 . ( 1/2 )^0 + [ (-2)^2 : 1/2 ] . 8`
`= 8 + 3.1 + 2^2 . 2 .2^3`
`= 11 + 2^{2+1+3}`
`= 11 + 2^6`
`= 11 + 64`
`= 75`
Hãy giúp mọi người biết câu trả lời này thế nào?
Bảng tin