

giải giúp em nhanh với ạ
Hãy luôn nhớ cảm ơn và vote 5*
nếu câu trả lời hữu ích nhé!
Đáp án:
Giải thích các bước giải:
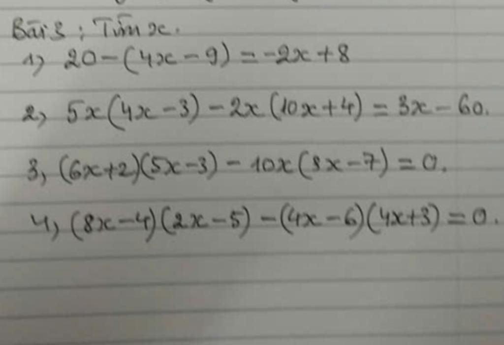
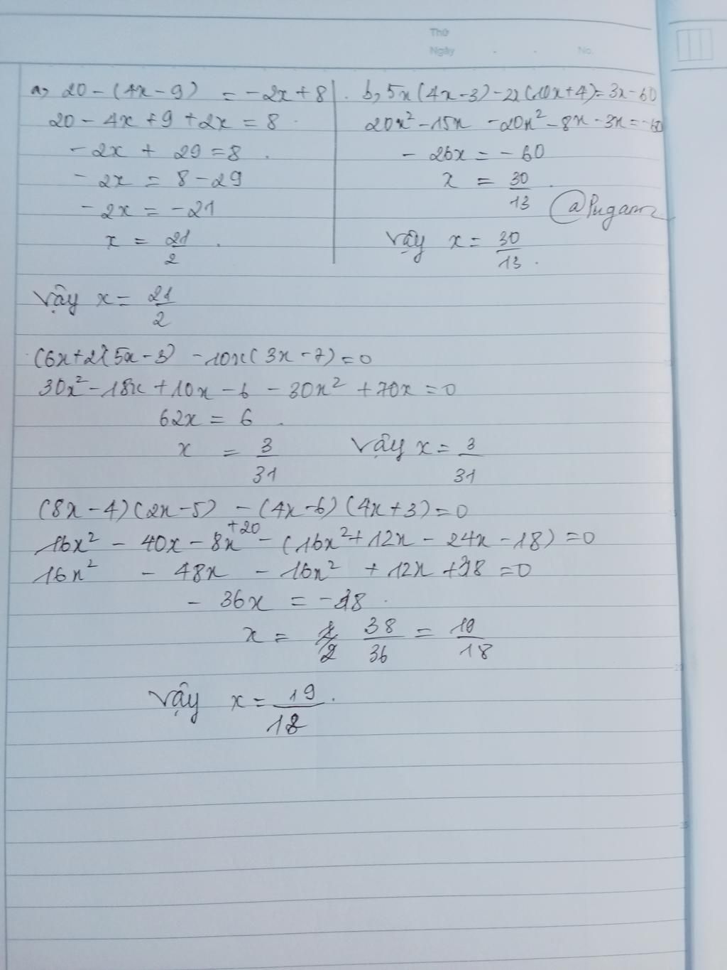
a) $20-(4x-9)=-2x+8$
$\Leftrightarrow 20-4x+9=-2x+8$
$\Leftrightarrow 29-4x=-2x+8$
$\Leftrightarrow -4x+2x=8-29$
$\Leftrightarrow -2x=-21$
$\Leftrightarrow x=\frac{-21}{-2}$
$\Leftrightarrow x=\frac{21}{2}$
b) $5x(4x-3)-2x(10x+4)=3x-60$
$\Leftrightarrow 20x^2-15x-20x^2-8x=3x-60$
$\Leftrightarrow -23x=3x-60$
$\Leftrightarrow -23x-3x=-60$
$\Leftrightarrow -26x=-60$
$\Leftrightarrow x=\frac{-60}{-26}$
$\Leftrightarrow x=\frac{30}{13}$
c) $(6x+2)(5x-3)-10x(3x-7)=0$
$\Leftrightarrow 30x^2-18x+10x-6-30x^2+70x=0$
$\Leftrightarrow (-18x+10x+70x)-6=0$
$\Leftrightarrow 62x-6=0$
$\Leftrightarrow 62x=6$
$\Leftrightarrow x=\frac{6}{62}$
$\Leftrightarrow x=\frac{3}{31}$
d) $(8x-4)(2x-5)-(4x-6)(4x+3)=0$
$\Leftrightarrow (16x^2-40x-8x+20)-(16x^2+12x-24x-18)=0$
$\Leftrightarrow 16x^2-48x+20-(16x^2-12x-18)=0$
$\Leftrightarrow 16x^2-48x+20-16x^2+12x+18=0$
$\Leftrightarrow (-48x+12x)+(20+18)=0$
$\Leftrightarrow -36x+38=0$
$\Leftrightarrow -36x=-38$
$\Leftrightarrow x=\frac{-38}{-36}$
$\Leftrightarrow x=\frac{19}{18}$
Hãy giúp mọi người biết câu trả lời này thế nào?

Bảng tin