

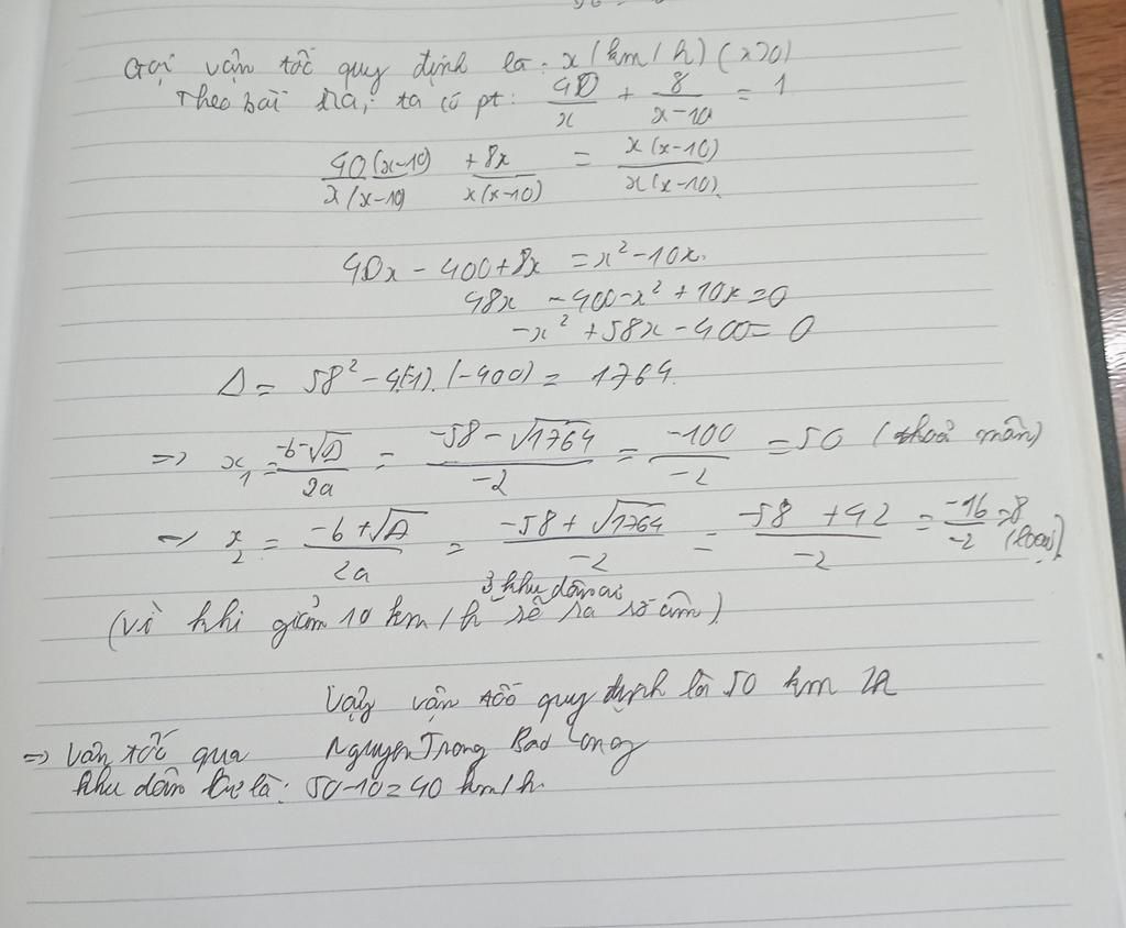
Quãng đường AB dài 48km trong đó đoạn đường qua khu dân cư dài 8km. Một ô tô đi từ A đến B với vận tốc quy định. Khi đi qua khu dân cư, xe phải giảm vận tốc 10k/h so với vận tốc quy định. Tính vận tốc của ô tô khi đi qua khu dân cư biết rằng thời gian ô tô đi từ A đến B là 1 giờ.
Hãy luôn nhớ cảm ơn và vote 5*
nếu câu trả lời hữu ích nhé!
Gọi `x`(km/h) là vận tốc khi xe đi qua khu dân cư
ĐK: `x>0`
Vận tốc theo quy định là: `x+10`(km/h)
Thời gian đi qua khu dân cư là: `8/x` (giờ)
Quãng đường đi theo vận tốc quy định là: `48-8=40(km)`
Thời gian khi đi theo vận tốc quy định là: `40/(x+10)` (giờ)
Tổng thời gian đi là `1` giờ do đó ta có pt:
`8/x+40/(x+10)=1`
`8(x+10)+40x=x(x+10)`
`8x+80+40x=x^2+10x`
`x^2+10x-8x-80-40x=0`
`x^2-38x-80=0`
`(x^2-40x)+(2x-80)=0``
`x(x-40)+2(x-40)=0`
`(x+2)(x-40)=0`
`x+2=0` hoặc `x-40=0`
`x=-2(L)` hoặc `x=40(N)`
Vậy vận tốc khi đi qua khu dân cư là 40km/h
Hãy giúp mọi người biết câu trả lời này thế nào?
![]()
Bảng tin
474
854
285
Ờ nhầm kìa a giảm 10k/h phải trừ 10 chứ
1607
204
1538
phó ơi đại chx á ?
2767
50760
1631
đợi phó tí chắc khoảng 20p nx đi
1607
204
1538
âu ke