

Hãy luôn nhớ cảm ơn và vote 5*
nếu câu trả lời hữu ích nhé!
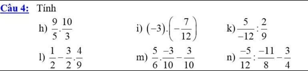
`h) 9/5 : 10/3`
`= 9/5 * 3/10`
`= 27/50`
`i) (-3) * (-7/12)`
`= (3 * 7) / 12`
`= 21/12 = 7/4`
`k) 5/(-12) : 2/9`
`= -5/12 * 9/2`
`= -45/24 = -15/8`
`l) 1/2 : 3/2 : 4/9`
`= 1/2 * 2/3 * 9/4`
`= (1*2*9)/(2*3*4)`
`= 18/24 = 3/4`
`m) 5/6 : (-3/10) : 3/10`
`= 5/6 * (-10/3) * 10/3`
`= - (5*10*10)/(6*3*3)`
`= -500/54 = -250/27`
`n) -5/12 : (-11/8) : 3/4`
`= -5/12 * (-8/11) * 4/3`
`= (5*8*4)/(12*11*3)`
`= 160/396 = 40/99`
Hãy giúp mọi người biết câu trả lời này thế nào?
Đáp án `+` Giải thích các bước giải:
`h) 9/5 * 10/3`
`= (9*10)/(5*3)`
`= 6`
`\text{}`
`i) (-3)(-7/12)`
`= 3 * 7/12`
`= 7/4`
`\text{}`
`k) 5/-12 : 2/9`
`= (-5)/12 * 9/2`
`= (-15)/8`
`\text{}`
`l) 1/2 - 3/2 * 4/9`
`= 1/2 - 2/3`
`= -1/6`
`\text{}`
`m) 5/6 * (-3)/10 - 3/10`
`= (-5)/6 * 3/10 - 3/10`
`= 3/10((-5)/6 - 1)`
`= 3/10 * (-11)/6`
`= (-11)/20`
`\text{}`
`n) (-5)/12 : (-11)/8 - 3/4`
`= 5/12 * 8/11 - 3/4`
`= 40/132 - 3/4`
`= -59/132`
`color{#CC33FF}{K}color{#CC33CC}{a}color{#CC3399}{m}color{#CC3366}{a}color{#993366}{d}color{#993399}{o}` `color{#9933CC}{N}color{#9933FF}{e}color{#6633FF}{z}color{#6633CC}{u}color{#663399}{k}color{#663366}{o}` `color{#333366}{c}color{#333399}{u}color{#3333CC}{t}color{#3333FF}{e}`
Hãy giúp mọi người biết câu trả lời này thế nào?
Bảng tin