

giải câu 14 15 ạa, thông cảm hình hơi..
Hãy luôn nhớ cảm ơn và vote 5*
nếu câu trả lời hữu ích nhé!
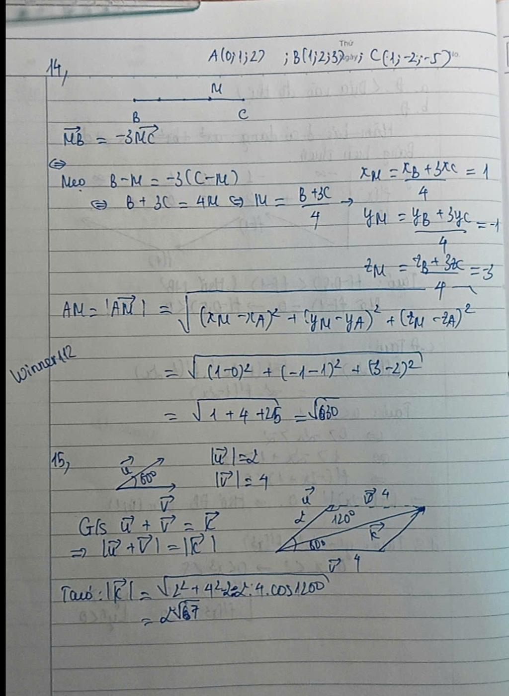
Câu 14
`vec(BC)=(0;-4;-8)=-4(0;1;2)`
`=>` `vec(u)=(0;1;2)` là một VTCP của đường thẳng `BC`
`=>` `(BC): {(x=1),(y=2+t),(z=3+2t):}`
`=>` `M(1;2+t;3+2t)`
Ta có: `MB=3MC=>MB^2=9MC^2`
`=>` `(1-1)^2+(2+t-2)^2+(3+2t-3)^2=9*[(1-1)^2+(-2-2-t)^2+(-5-3-2t)^2]`
`=>` `5t^2=9*(5t^2+40t+80)`
`=>` `40t^2+360t+720=0`
`=>` `[(t=-3=>M(1;-1;-3)),(t=-6=>M(1;-4;-9)):}`
`M` nằm trên đoạn thẳng `BC` `=>` `vec(MB)` và `vec(MC)` ngược hướng
`+)` Với `M(1;-1;-3)=>vec(MB)=(0;3;6)` và `vec(MC)=(0;-1;-2)`
`=>` `vec(MB)=-3vec(MC)` ngược hướng
`=>` Thỏa mãn
`+)` Với `M(1;-4;-9)=>vec(MB)=(0;6;12)` và `vec(MC)=(0;2;4)`
`=>` `vec(MB)=3vec(MC)` cùng hướng
`=>` Loại
Như vậy, `M(1;-1;-3)` thỏa mãn
Khi đó: `|vec(AM)|=sqrt((1-0)^2+(-1-1)^2+(-3-2)^2)=sqrt30`
Câu 15
`(vecu+vecv)^2=u^2+v^2+2vecu*vecv`
`=(|vec(u)|)^2+(|vecv|)^2+2*|vec(u)|*|vec(v)|*cos(vecu,vecv)`
`=2^2+4^2+2*2*4*cos 60^o`
`=28`
`=>` `|vecu+vecv|=2sqrt7`
Hãy giúp mọi người biết câu trả lời này thế nào?

tại sao kh giữ nguyên dấu đề mà phải đổi thành -MC vayy ạ
Vector có hướng nữa ấy , bạn mở lại lớp 10 xem
tl thẳng đc mà ạ?
Thì mình bảo là "Vector có tính theo hướng" ấy @@
Còn ý mình là muốn hiểu sâu vấn đề thì buộc phải nắm được lý thuyết cậu ạ @@ , nếu mà không nắm thì hơi khó hiểu ấy cậu
Bảng tin
244
9602
130
tại sao gom (vecto u + vecto a)^2 được v ạ
244
9602
130
tại sao nhân cos vào v ạ, có ct j khong ạ
244
9602
130
tại sao lại căn 28 lên v ạ
9057
97450
5313
`|vec(u)+vec(v)|` là độ dài của vectơ tổng nên ta có thể bình phơng nó lên thành `(vec(u)+vec(v))^2` Nhân cos vì công thức tích vô hướng thôi `vec(a)*vec(b)=|veca|*|vecb|*cos(veca,vecb)`