

Giải dùm em được konaj
Hãy luôn nhớ cảm ơn và vote 5*
nếu câu trả lời hữu ích nhé!
Đáp án:
Giải thích các bước giải:
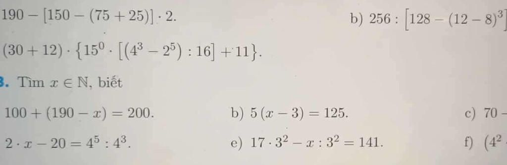
`1)`
`a) 190 - [150 - (75 +25)] : 2`
` = 190 - [150 - 100] : 2`
`=190 - 50 :2`
`=190 - 25`
`=165`
`b) 256 : [128 - (12 - 8)^3]`
`=256 : [128 - 4^3]`
`=256 : [128 - 64]`
`=256 : 64`
`=4`
`c) (30 + 12) {15^0 . [(4^3 - 2^5) : 16] + 11}`
`=42 {[(64 - 32) : 16] + 11}`
`=42 {[32 : 16] + 11}`
`=42 {2 + 11}`
`=42 . 13`
`=546`
`2)`
`a) 100 + (190 -x) = 200`
`190 - x = 200 - 100`
`190 - x = 100`
`x = 190-100`
`x=90`
Vậy `x=90`
`b) 5(x-3) = 125`
`x - 3 = 125/25`
`x- 3 = 5`
`x = 5 + 3`
`x=8`
Vậy `x=8`
`d) 2 . x - 20 = 4^5 : 4^3`
`2x -20 = 4^2`
`2x - 20 = 16`
`2x = 16 + 20`
`2x = 36`
`x = 36/2`
`x=18`
Vậy `x=18`
`e) 17 . 3^2 - x : 3^2 = 141`
`17 . 9 - x : 9 = 141`
`153 - x : 9 = 141`
`x : 9 = 153 - 141`
`x : 9 = 12`
`x = 12 . 9`
`x=108`
Vậy `x=108`
Hãy giúp mọi người biết câu trả lời này thế nào?
1,
`a, 190-[150-(75+25)].2`
`=190-(150-100).2`
`=190-50.2`
`=190-100`
`=90`
b, `256:[128-(12-8)^3]`
`=256:(128-4^3)`
`=256:(128-64)`
`=256:64`
`=4`
c, `(30+12){15^0.[(4^3-2^5):16]+11}`
`=42.[(64-32):16+11]`
`=42.(32:16+11)`
`=42.13`
`=546`
2,
a, `100+(190-x)=200`
`=> 190-x=200-100`
`=> 190-x=100`
`=> x=190-100`
`=> x=90`
Vậy `x=90`
b, `5(x-3)=125`
`=> x-3=125:5`
`=> x-3=25`
`=> x=25+3`
`=> x=28`
Vậy `x=28`
d, `2x-20=4^5 : 4^3`
`=> 2x-20=4^2`
`=> 2x=16+20`
`=> 2x=36`
`=> x=36:2`
`=> x=18`
Vậy `x=18`
e, `17 . 3^2 -x : 3^2=141`
`=> 17.9-x:9=141`
=> 153-x:9=141`
`=> x:9=153-141`
`=> x:9=12`
`=> x=12.9`
`=> x=108`
Vậy `x=108`
Hãy giúp mọi người biết câu trả lời này thế nào?
Bảng tin