

Hãy luôn nhớ cảm ơn và vote 5*
nếu câu trả lời hữu ích nhé!
Đáp án:
Giải thích các bước giải:
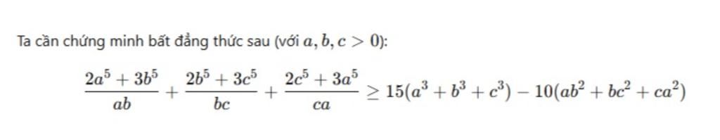
Để làm sáng tỏ bất đẳng thức cần chứng minh thì ta đi chứng minh BĐT:
`(2a^5+3b^5)/(ab) >=5a^3-10ab^2+10b^3` với `a,b>=0`
Thật vậy:
`(2a^5+3b^5)/(ab) >=5a^3-10ab^2+10b^3`
`2a^5+3b^5>=ab(5a^3-10ab^2+10b^3)`
`2a^5+3b^5-ab(5a^3-10ab^2+10b^3)>=0`
`2a^5+3b^5-5a^4b+10a^2b^3-10ab^4>=0`
`(a-b)^4(2a+3b)>=0` (luôn đúng)
Chứng minh tương tự ta cũng có:
`(2b^5+3c^5)/(bc)>=5b^3-10bc^2+10c^3`
`(2c^5+3a^5)/(ca)>=5c^5-10ca^2+10a^3`
Từ đó, cộng theo vế của `3` đẳng thức ta được:
`(2a^5+3b^5)/(ab)+(2b^5+3c^5)/(bc)+(2c^5+3a^5)/(ca)`
`>=5a^3-10ab^2+10b^3+5b^3-10bc^2+10c^3+5c^5-10ca^2+10a^3`
`=15a^3+15b^3+15c^3-10ab^2-10bc^2-10ca^2`
`=15(a^3+b^3+c^3)-10(ab^2+bc^2+ca^2)`
Chứng minh hoàn tất.
Hãy giúp mọi người biết câu trả lời này thế nào?

\begin{align*}
&\frac{2a^{5}+3b^{5}}{ab}-\Bigl(5a^{3}+10b^{3}-10ab^{2}\Bigr)
=\frac{(a-b)^{4}(2a+3b)}{ab}\ge0 \\[4pt]
&\Longrightarrow\;
\frac{2a^{5}+3b^{5}}{ab}\ge 5a^{3}+10b^{3}-10ab^{2}. \\[8pt]
&\text{Tương tự:} \\[2pt]
&\frac{2b^{5}+3c^{5}}{bc}\ge 5b^{3}+10c^{3}-10bc^{2}, \\[2pt]
&\frac{2c^{5}+3a^{5}}{ca}\ge 5c^{3}+10a^{3}-10ca^{2}. \\[8pt]
&\text{Cộng ba bất đẳng thức:} \\[2pt]
&\frac{2a^{5}+3b^{5}}{ab}
+\frac{2b^{5}+3c^{5}}{bc}
+\frac{2c^{5}+3a^{5}}{ca} \\[2pt]
&\qquad\ge
15(a^{3}+b^{3}+c^{3})
-10\!\left(ab^{2}+bc^{2}+ca^{2}\right). \\[8pt]
&\text{Dấu bằng khi } a=b=c.
\end{align*}
Hãy giúp mọi người biết câu trả lời này thế nào?

Bảng tin